洛侖茲收縮為了保留以太理論,同時克服上述理論困難和實驗困難,當時最傑出的電磁學家洛侖茲決定放棄相對性原理。他想保留麥克斯韋電磁理論,同時解決邁克耳孫實驗與光行差實驗的矛盾。為此,他提出,以太相對於絕對空間是靜止的。 麥克斯韋電磁理論只在相對於以太 /*即,絕對空間*/ 精緻的慣性系中成立。光波相對與以太 /*絕對空間*/ 的速度是‘c’,相對於運動系的速度不再是‘c’。他又提出一個新效應:相對於絕對空間運動的剛尺,會在運動方向上產生收縮。:
洛侖茲收縮
洛侖茲收縮
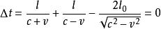
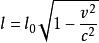
洛侖茲收縮這一收縮被稱為洛侖茲收縮。裡面的 是剛尺相對於絕對空間靜止時的長度,L是剛尺相對於絕對空間以以速度 運動時的長度,'c'是真空中的光速。洛侖茲等人認為這種 “收縮” 是物理學家以前不知道的一種新效應。此效應可以解釋為何麥克耳孫實驗觀測不到地球相對於以太的運動。這是因為沿運動方向放置的干涉儀的臂長發生了洛倫茲收縮,縮短了光程,這一效應低效了地球相對於以太運動帶來的光程改變。
他們認為洛侖茲收縮是物理的,會引起收縮物體內部結構和物理性質的變化。
需要說明的是,洛侖茲是1892年提出上述收縮假設,並開始在課堂上對學生講授。然而當時大家看到的斐茲傑惹的有關論文最早是1893年發表的,晚於洛侖茲。斐茲傑惹去世後,他的學生為了給自己的老師討個公道,翻查各種文獻,終於在英國出版的《科學》雜誌上查到了1889年斐茲傑惹投給該刊的討論這一收縮的論文。由於斐茲傑惹投稿給《科學》不久,該刊就倒閉了,斐茲傑惹以為自己的文章沒有登出來,事實上此文章已經登在了該刊倒閉前的倒數第二期上。看來,斐茲傑惹發現這一收縮確確實實早於洛侖茲。所以洛侖茲收縮應該稱為“洛侖茲·斐茲傑惹收縮”。

