成份
本品主要成份為磷酸肌酸二鈉鹽四水合物。本品無輔料。
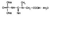
化學名稱:N-[亞氨基(膦氨基)甲基]-N-甲基甘氨酸二鈉鹽四水合物。
化學結構式;
注射用磷酸肌酸鈉分子式:CHNOPNa·4HO
分子量:327.15
性狀
本品為白色粉末或結晶性粉末。
適應症
心臟手術時加入心臟停搏液中保護心肌缺血狀態下的心肌代謝異常。
規格
1g(按CHNOPNa計)
用法用量
遵醫囑靜脈滴注,每次1g(1瓶),以注射用水、0.9%氯化鈉注射液、5%葡萄糖注射液溶解後在30~45分鐘內靜脈滴注,每日1~2次。心臟手術時加入心臟停搏液中保護心肌;心臟停搏液中的濃度為10mmol/L。
不良反應
尚不明確。用藥過程中如有任何不適,請立即通知醫生。
禁忌
對本品組分過敏者禁用。
慢性腎功能不全患者禁止大劑量(5~10g/日)使用本品。
注意事項
快速靜脈注射1g以上的磷酸肌酸鈉可能會引起血壓下降。
大劑量(5~10g/日)給藥引起大量磷酸鹽攝入,可能會影響鈣代謝和調節穩態的激素的分泌,影響腎功能的嘌呤代謝。
上述大劑量需慎用且僅可短期使用。
配伍禁忌:無。
對駕駛和操縱機械的影響:無。
孕婦及哺乳期婦女用藥
無禁忌。
兒童用藥
本品未進行該項實驗,但有相關臨床套用文獻。
老年用藥
通常無需調整用藥劑量,但腎功能不全者應適當減少用藥劑量。
藥物相互作用
本品不與其它藥物發生相互作用。
藥物過量
無特異性解毒藥。如過量可採取對症治療。
藥理毒理
藥理作用
磷酸肌酸在肌肉收縮的能量代謝中發揮重要作用。它是心肌和骨骼肌的化學能量儲備,並用於ATP的再合成,ATP的水解為肌動球蛋白收縮過程提供能量。
氧化代謝減慢導致的能量供給不足是心肌細胞損傷形成和發展的重要因素。磷酸肌酸水平不足在心肌收縮力和功能恢復能力的損傷中具有重要的臨床意義。實際上,在心肌損傷中,細胞內高能磷酸化合物的數量,與細胞的存活和收縮功能恢復能力之間存在緊密關係。所以保持高能磷酸化合物的水平成為各種限制心肌損傷方法的基本原則,同時也是心臟代謝保護的基礎。
動物試驗和人體的心臟停搏試驗顯示了磷酸肌酸鈉的作用及其保護心肌的可能性。
藥理學試驗顯示;
●預先肌內注射磷酸肌酸鈉,對異丙腎上腺素(大鼠和鴿子)、甲狀腺素(大鼠)、吐根鹼(豚鼠)、p-硝基苯酚(大鼠)、勞力(大鼠)等原因導致的各種心肌疾病有劑量依賴性的保護作用。
●磷酸肌酸鈉對離體的青蛙、大鼠和豚鼠的心臟以及豚鼠的心耳發揮正性肌力作用。
●磷酸肌酸鈉可拮抗缺氧對離體豚鼠心房的負性肌力作用。
●在對體內和離體的多種試驗模型的試驗中,向心臟停搏液中加入磷酸肌酸鈉均可加強對心肌的保護。
●磷酸肌酸鈉對冠狀動脈阻塞引起的實驗性心肌梗塞及心率失常提供保護。
●磷酸肌酸鈉的心肌保護功能與以下作用相關:穩定肌纖維膜;通過抑制核苷酸分解酶而保持細胞內腺嘌呤核苷酸水平,抑制缺血心肌部位的磷脂降解;通過抑制ADP-誘導的血小板聚集而改善缺血部位的微循環
毒性作用
動物試驗顯示,短期和長期使用磷酸肌酸鈉進行治療均無潛在毒性。
磷酸肌酸鈉無致畸作用。
藥代動力學
兔肌注磷酸肌酸,20~40分鐘後血藥濃度達到峰值,此時約有25~28%的給藥劑量在血液中。然後數值緩慢下降,250分鐘後仍有9%外源性磷酸肌酸在血液中。
肌注磷酸肌酸後40~250分鐘期間,可觀察到血液ATP水平升高,100分鐘後達最高濃度,此時ATP水平升高25%。
兔靜脈給藥後,磷酸肌酸以活性形式出現在血液中並30分鐘內逐漸減少。血液ATP水平升高(峰值時升高大於24%),300分鐘後恢復正常。
人體靜脈給予磷酸肌酸的平均消除半衰期為0.09~0.2小時。緩慢滴注5g的磷酸肌酸40分鐘後,血藥濃度下降至5nmol/ml以下。10g劑量給藥40分鐘後,血藥濃度可達10nmol/ml。
肌內注射磷酸肌酸50mg,5分鐘後磷酸肌酸出現在血液中,30分鐘後達峰值,約為10nmol/ml,1小時後下降至4~5nmol/ml.2小時後,仍為1~2nmol/ml.75mg劑量給藥的峰濃度為11~12nmol/ml。
對組織的分析顯示,外源的磷酸肌酸主要分布在心肌和骨骼肌,腦和腎組織次之,肺和肝組織最少.體內代謝和排泄過程為磷酸肌酸經催化去磷酸化形成肌酸,然後肌酸環化為肌酐,最後經尿排泄。
貯藏
密封,在涼暗(避光並不超過20℃)乾燥處保存。
包裝
注射用無菌粉末用氯化丁基橡膠塞,低硼矽玻璃管制注射劑瓶,1g×2支/盒。
有效期
24個月。
執行標準
國家食品藥品監督管理局標準YBH15692004

