藥品簡介
通用名:注射用硫酸長春鹼
英文名:VINBLASTINE SULFATE FOR INJECTION
拼音名:ZHUSHEYONG LIUSUAN CHANGCHUNJIAN
藥品類別:天然來源抗腫瘤藥
性狀:本品為白色或類白色的疏鬆狀或無定形固體,有引濕性,遇光或熱易變黃。
貯藏:遮光,密閉,在冷處保存。
主要成分
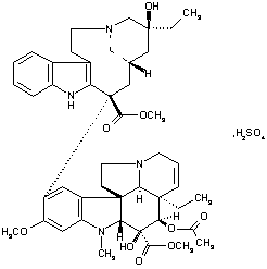
硫酸長春鹼結構式通用名:硫酸長春鹼
拼音名:LIUSUAN CHANGCHUNJIAN
英文名:VINBLASTINE SULFATE
CAS No.:143-67-9
分子式:C46H58N4O9·H2SO4
分子量:909.06
規格:10mg
藥理毒理
長春鹼為夾竹桃科植物長春花中提取的一種有抗癌活性的生物鹼。主要抑制微管蛋白的聚合,而妨礙紡錘體微管的形成,使有絲分裂停止於中期。也可作用於細胞膜,干擾細胞膜對胺基酸的轉運,使蛋白質合成受抑制,亦可抑制RNA合成。長春鹼抗瘤譜較廣,在0.05~0.1mg/kg劑量時對小鼠L1210白血病、艾氏腹水癌、S180、C3H小鼠自發性及轉移性乳腺癌等均有明顯抗腫瘤活性,對移植於地鼠頰囊中的絨癌細胞的生長亦有抑制作用。
藥代動力學
口服吸收差,需靜脈給藥。靜注長春鹼後迅速分布於各組織,很少透過血腦屏障,蛋白結合率75%。血將藥物的清除呈雙向型,t1/2α為4.5分鐘,t1/2β為190分鐘,末梢消除相t1/2γ為24小時左右。在肝內代謝,大部分隨膽汁排出,用藥後3日內33%隨糞便排出,其中主要為代謝物,21%以原型隨尿排出。
適應症
主要用於實體瘤的治療。對惡性淋巴瘤、睪丸腫瘤、絨毛膜癌療效較好,對肺癌、乳腺癌、卵巢癌、皮膚癌、腎母細胞瘤及單核細胞白血病也有一定療效。
用法用量
成人劑量10mg(或6mg/m2),兒童劑量10mg/m2,每周1次,一個療程總量60~80mg。
不良反應
注射用硫酸長春鹼1、血液學毒性:為劑量限制性毒性,骨髓抑制作用強於長春新鹼,停藥後迅速恢復。
2、消化道反應:食慾下降、噁心、嘔吐、腹瀉、腹痛、口腔炎等。
3、周圍神經毒性:指(趾)尖麻木、四肢疼痛、肌肉震顫、腱反射消失等。
4、局部刺激:注射血管可出現血栓性靜脈炎,漏於血管外可引起局部組織壞死。
5、其他:少數病人可出現體位性低血壓、脫髮、失眠、頭痛等。
注意事項
靜脈注射,沖入靜脈時避免日光直接照射,漏於血管外必須及時處理(參考氮芥外漏的處理),否則可發生局部組織壞死。
