成份
注射用三磷酸胞苷二鈉本品的活性成份:三磷酸胞苷二鈉。
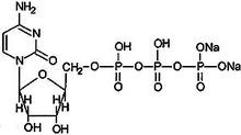
化學名稱:胞嘧啶核苷酸-5-三磷酸酯二鈉。
化學結構式:
分子式:CHNNaOP
分子量:527.14
輔料:甘露醇、磷酸鈉、精氨酸。
藥品簡介
【藥品名稱】通用名稱:注射用三磷酸胞苷二鈉
【成份】化學名稱:胞嘧啶核苷-5-三磷酸酯二鈉。輔料為:甘露醇
【性狀】本品為白色凍乾塊狀物或粉末。
【適應症】用於顱腦外傷后綜合症及其後遺症的輔助治療。
【包裝規格】 管制瓶,2支/盒
【是否處方藥】 是
【產品劑型】 顆粒劑
【用法用量】 肌內注射,一次20mg,一日1~2次(20~40mg),靜脈滴注,20mg加入5%葡萄糖注射液或生理鹽水250ml中,或者40mg加入5%葡萄糖注射液或生理鹽水500ml中緩慢靜脈滴注。
【性狀】本品為無色或幾乎無色的澄明液體
【有 效 期】尚不明確
【功能主治】用於 腦震盪及其後遺症、外傷性昏迷、顱腦手術後功能障礙、神經官能症、植物神經紊亂、 肝炎等
【不良反應】偶有發熱、皮疹,停藥後症狀消失。極少數病人出現一過性輕度谷丙轉氨酶升高,停藥後恢復正常。本藥對竇房結有明顯抑制作用
【注意事項】
1.嚴禁靜脈推注。
2.靜脈滴注時,滴速不可過快,否則會引起興奮、呼吸加快、頭暈、頭脹、胸悶及低血壓等。
3.嚴重肝、腎功能不全者慎用。癲癇患者慎用。
4.心肌梗死、腦出血急性期慎用。
5.當藥品性狀發生改變時禁止使用
禁忌
1.病竇綜合徵、竇房結功能不全者禁用,緩慢性心律失常禁用。
2.對本品過敏者禁用。
孕婦及哺乳期婦女用藥
孕婦禁用,哺乳期婦女慎用。
老年用藥
老年肝腎功能下降,應慎用,劑量遵醫囑。
藥理毒理
三磷酸胞苷二鈉為輔酶類藥,是核苷酸衍生物,在機體內參與磷脂類及核酸的合成和代謝,是腦磷脂合成與核酸代謝的中間產物和能量來源。
貯藏
密閉,在陰涼處(不超過20℃)保存。
包裝
西林瓶,1瓶/盒或10瓶/盒。
生產企業
藥企名稱:吉林敖東洮南藥業股份有限公司
生產地址:白城市洮南市團結東路16號
藥企電話:0436-6225278,6335023,6335024
