簡介
物點發出的波面經實際光學系統後,實際波面與理想波面在出瞳處相切時,兩波面的光程差,即為波像差。
波象差性質
波像差為孔徑的函式;
幾何像差大時,波像差也大;
對軸上像點,單色波像差由球差決定;
波像差小,像質好。
1.波像差為孔徑的函式;
2.幾何像差大時,波像差也大;
3.對軸上像點,單色波像差由球差決定;
4.波像差小,像質好。
波像差和幾何像差的關係
光線——波面的法線;
波像差——實際波面對理想波面的偏離。
波象差A'M交理想波面與M,即為波差。(以理想波面為基準,右負左正)
波象差波像差與球差之間的關係
波象差
波象差
波象差
波象差
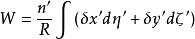
波象差球差相當的波像差為以u 為縱坐標,以為橫坐標的球差曲線與縱軸所圍面積的一半。
軸外點的波像差及其與垂軸像差的關係
波象差軸外任何一點的像差,可以用兩個分量來表示,W應表示成與這兩個分量之間的關係。
波象差B'的波面為球面,B'波面與球面在P'相切。
B'波面的法線是到達該點的空間光線。
波象差波像差——二波面之間的距離。
可以導出:
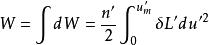
波象差上式計算比較麻煩,沿子午截線的波像差計算較簡單。
波象差關係曲線:
波象差曲線對sinU'軸所圍面積表征波像差的大小。
參考點移動產生的波像差
波象差由:
波象差軸向離焦:。
波象差垂軸離焦:。
當光學系統為理想系統時,高斯面上波像差為零。
