概念
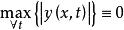
波節波節是駐波場中的振幅為零的點、線或曲面。在一維駐波中表現為振幅最小(一般為0)的位置。通常波節數隨能量或角動量的升高而增加。
公式
波節
波節設駐波由一列右行波 和一列左行波 合成
波節
波節
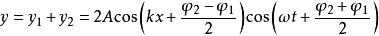
波節其中 為波數,則合成的波為
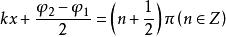
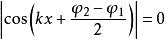
波節由波節的定義,波節所處的位置滿足
波節即
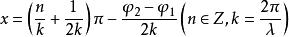
波節於是
波節
波節則
波節
波節套用:若已知相位差,則可求出全部波節的位置;若已知某個波節的位置,則可求相位差。

波節是指在駐波場中描述聲場特性的某些物理量的幅值為零的點、線或面。這些物理量可以是聲壓、質點位移、質點速度和質點加速度等。因此,描述波節時應說明波節的類型。
波節波節是駐波場中的振幅為零的點、線或曲面。在一維駐波中表現為振幅最小(一般為0)的位置。通常波節數隨能量或角動量的升高而增加。
波節
波節設駐波由一列右行波 和一列左行波 合成
波節
波節
波節其中 為波數,則合成的波為
波節由波節的定義,波節所處的位置滿足
波節即
波節於是
波節
波節則
波節
波節套用:若已知相位差,則可求出全部波節的位置;若已知某個波節的位置,則可求相位差。
