定義
bubbling point
若不特別註明壓力的大小,則常常表示在0.101325MPa下的泡點。泡點隨液體組成而改變。對於純化合物,泡點也就是在某壓力下的沸點。
在熱力學中,是於固定壓力下加熱一含有雙成份或多成份液體的過程中,形成第一個氣泡時的溫度。
在石油天然氣工程中(見《油層物理》何更生著,P72),泡點的定義如下:
泡點:在溫度一定的情況下,開始從液相中分離出第一批氣泡的壓力,或在壓力一定的情況下,開始從液相中分離出第一批氣泡的溫度。
計算公式
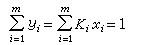
圖一 一定組成的液體,在恆壓下加熱的過程中,出現第一個氣泡時的溫度,也就是一定組成的液體在一定壓力下與蒸氣達到汽液平衡時的溫度。泡點隨液相組成和壓力而變。當泡點與液相組成的關係中,出現極小值或極大值時,這極值溫度相應稱為最低恆沸點或最高恆沸點,這時,汽相與液相組成相同,相應的混合物稱為恆沸混合物。汽液平衡時,液相的泡點即為汽相的露點。由液相組成計算一定壓力下的泡點和汽相組成,稱為泡點計算,基本公式為(見圖一)
式中 m為組分數; xi、 yi和 Ki分別為 i組分的液相摩爾分率、汽相摩爾分率和相平衡比。 Ki為溫度、壓力和組成的函式,可用活度係數關聯式或狀態方程計算(見相平衡關聯)。如已知液相組成和壓力,即可用上式求得泡點和汽相組成。泡點計算是蒸餾計算的一項基本內容。

