基本介紹
法諾擬陣即二元擬陣F,僅含有7個元素,其表示矩陣為
法諾擬陣而其在投影平面上的圖像中,三個點位於同一條直線或同一條曲線上時,此三點構成F的相關集;否則為基。F不是單模擬陣,因此,以F為其子擬陣的擬陣也不是單模擬陣 。
性質介紹
引理1若擬陣M為正則的,則對於任何一個基礎,其基本矩陣是全單模的 。
一個二分的(但非正則的)擬陣的最簡單的例子,就是Fano擬陣。
法諾擬陣Fano擬陣其基礎集由7個元素組成,記為 ,圈的集合為
法諾擬陣其中X={e|1≤t≤7,t≠i,j和k},1≤i<j<k≤7。
法諾擬陣
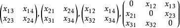
法諾擬陣上述Fano擬陣的非正則性,可以按如下方式證明:因為容易驗證 為它的一個基礎。這時,它的三個基本圈為 ,其基本矩陣為
法諾擬陣其中x=±1,i≠j,1≤i,j≤4。假若此矩陣是全單模的,由於下面4個子陣的行列式
法諾擬陣必須為偶數。從全單模性,又使得如下的方程.對於所有未知量,非1則-1,有解:
法諾擬陣然而,這些方程將導致
法諾擬陣
法諾擬陣
法諾擬陣因此,Fano擬陣不可能是全單模的,由引理1可知Fano擬陣是非正則的。
引理2 若一個擬陣M是正則的,則Fano擬陣和它的對偶均非M的次形。
引理3 若二分擬陣M是正則的,則它的基本矩陣在GF(2)上是X脫化的。
引理4 對於一個二分擬陣M,下面的說法是相互等價的:
(1) M在任何城上均為可表示的;
(2) M是可定向的;
(3) M是全單模的;
(4) M沒有次形與Fano擬陣或其對偶擬陣同構;
(5) M是X脫化的 。

