簡介
泊松積分公式是圓域狄利克雷問題的求解公式。
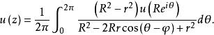
設函式u(z)在圓|z|<R內調和,在|z|≤R上連續,則對於|z|<R內任意一點z=re ,有圓內泊松公式
泊松積分公式意義
泊松積分公式表明:如果知道調和函式在圓周l上的點(R,θ)的值是u(R,θ),便能找出它在圓內任一點(r,φ)的值;換句話說,任何一個調和函式在圓內的值都可以用它在圓周上的值來表達。
推廣
泊松積分公式在泊松公式中,令r=0,此時,點z則變成圓心了,於是有由此可見,調和函式在圓心點值等於它在該圓周界上的值的算術平均值,上式稱為調和函式的中值公式。
狄利克雷問題
(Dirichlet's problem)
狄利克雷問題亦稱第一邊值問題,是調和函式的一類重要邊值問題。求一個在區域D內調和並在(DU∂D)上連續的函式 u(z)的問題,要求它在∂D上取給定的連續函式φ(ξ)(ξ∈∂D)。
