定義
油氣蓄能器是儲存和釋放液體壓力能的裝置,它在液壓系統中的功用主要有以下三方面:
(1)短期大量供油。
(2)維持系統壓力。
(3)吸收衝擊壓力或脈動壓力。
以上三方面用途,前兩項是利用蓄能器的貯能作用,後一項是利用它的緩衝作用。
分類
蓄能器可分為重力載入式、彈簧載入式和氣體載入式三大類。
重力載入式
重力載入式蓄能器利用重物的位能來儲存能量,是最古老的一種蓄能器。它能提供大容量、壓力恆定的液體,但尺寸龐大,反應遲鈍。這種蓄能器只用於固定的重型液壓設備。
彈簧載入式
彈簧載入式蓄能器利用彈簧的壓縮能來儲存能量,其結構簡單,反應較重力式靈敏,但其容積較小,一般用於小容量、低壓系統。
氣體載入式
重力及彈簧式蓄能器在套用上都有局限性,現在這兩種蓄能器已很少使用,目前大量使用的是氣體載入式蓄能器。
氣體載入式蓄能器的工作原理建立在波義耳定律的基礎上。使用時首先向蓄能器充入預定壓力的空氣或氮氣,當外部系統的壓力超過蓄能器的壓力時,油液壓縮氣體充入蓄能器,當外部系統的壓力低於蓄能器的壓力時,蓄能器中的油在壓縮氣體的作用下流向外部系統。氣體載入式蓄能器又分為非隔離式、氣囊式、隔膜式、活塞式等幾種。
非隔離式蓄能器的氣體與液體直接接觸,蓄能器中分為油相和氣相。這種蓄能器容量大、反應靈敏,缺點是氣體易被油液所吸收,氣體消耗量較大,元件易氣蝕損壞。這種蓄能器現在已很少使用。
氣囊式蓄能器由耐壓殼體、彈性氣囊、充氣閥、提升閥、油口等組成。提升閥的作用是防止油液排盡後氣囊擠出容器之外。設計允許的最大壓力比為4:1(最大壓力比為最高工作壓力與預充氣壓力之比)。氣囊式蓄能器容積較大,反應靈敏,不易漏氣,沒有油氣混雜的可能。氣囊式蓄能器的最佳放置方式是豎直放置,充氣閥在上方,也可以水平放置,但一定要注意選擇適當的充氣壓力並且限制最大排液流量。
隔膜式蓄能器有兩個半球形殼體,兩個半球之間夾著一個橡膠薄膜,將油和氣分開,其最大壓力比為8~10:1。隔膜式蓄能器的重量和容積比最小,反應靈敏;缺點是容積小。
活塞式蓄能器利用浮動自由活塞將氣相和液相隔開。活塞和筒狀蓄能器內壁之間有密封,其所推薦的壓力比為4:1,其結構簡單,壽命長,但由於活塞慣性大有密封摩擦阻力等原因,反應靈敏性差,氣體和液體有相混的可能性。活塞式蓄能器的最佳放置方式是豎直放置,也可以水平放置,但一定要注意保持油液清潔,因為過髒的油液會損壞活塞密封。
工作過程
蓄能器工作循環圖蓄能和放能的工作循環,可分為四個階段,如圖a是4升蓄能器的實測記錄,1-2是蓄能階段,氣體壓縮,壓力升高,通常屬多變過程。此時氣體溫度(圖b,與圖a工況相同)沿1-2升高。2-3是持能階段,屬等容過程,由於熱量外逸,溫度沿2-3下降,壓力也下降。3-4是放能階段,氣體騰脹,壓力下降。由於各種損失,釋放出的能量總要比儲入的少。隨著能量的釋放,溫度沿3-4下降,以致在點4的氣體溫度,低於環境溫度。4-1為間歇階段。即釋放能量後至下次重新蓄能的間歇,也屬等容過程。氣體溫度沿4-1上升,壓力也上升。回到初始點1。
如放能時間長,則3-4階段接近等溫過程,如點3已達環境溫度,則點4便於點1重合,循環過程為1-2-3-1。類此,根據四個階段的工況特點,不難看出蓄能器工作循環過程是多種多樣的。
靜態性質
系統的平均流量及供油壓力
有些液壓系統對於流量的要求並不恆定。僅在工作循環的某一段時間內需供給較大的流量。因此採用定量泵供油時,若按可能出現的最大流量選擇油泵,勢必造成功率浪費,也會使系統的造價增加。如果利用蓄能器對系統流量進行調濟,即可避免上述缺點。但是這時泵的流量須按系統在一個工作循環中的平均流量選取。圖1即為系統的流量變化圖,假定系統的平均流量為Q,則
圖1 系統的流量變化圖
油氣蓄能器式中,Q表示工作循環中備段時間的流量;t表示在各種不同流量下的持續時間。
當系統所需流量大於平均流量時,即由蓄能器供油。低於平均流量時,由油泵供油,同時將富餘流量充入儲能器。蓄能器供油時其最低壓力必須能滿足系統的工作要求。而且在蓄能器供油時其油液不宜全部排空,一般須餘下完全充滿時油液容積的10%。
此外,泵的供油壓力還必須能達到蓄能器充滿油液時的最大壓力。
蓄能器的容積
由於超過平均流量以上的流量須由蓄能器供油,所以蓄能器的理論容積即排油量為
油氣蓄能器式中 ,V表示蓄能器的理論容積;Q,t各表示大於平均流量的流量及持續時間。
蓄能器的最大有效能量及最佳容積
油氣蓄能器在一定的外形尺寸下,蓄能器提供的能量越多,則其效果就越好。對於氣壓作用式(包括氣囊式和氣壓活塞式)蓄能器,其最低壓力P必須等於系統的工作壓力才能進行正常的工作。蓄能器排油時,系統所獲得的能量即為其有效輸出能量。因此有
油氣蓄能器式中,E表示蓄能器的有效輸出能量。
當蓄能器的最大壓力為系統工作壓力的2倍時,蓄能器的輸出有效能量最大。
蓄能中氣體按絕熱過程膨脹進行排油時蓄能器的最佳容積
油氣蓄能器式中,V-V表示排油量,V表示蓄能器容積,γ表示絕熱係數。
動態分析
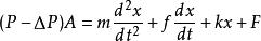
隨著蓄能器中氣體的膨脹,對系統的供油壓力將不斷變化。若油缸驅動的荷載F恆定,則其運動速度將不斷地改變。由於蓄能器內氣體的膨脹與蓄能器的排油量有關,而蓄能器的排油量又與活塞的位移有關,活塞位移則隨時間而變。所以蓄能器供油系統的工作是一個動態過程。假定蓄能器在開始向系統供油時的壓力為P,氣體的容積為V。工作過程中的瞬時壓力為P,氣體容積為V,則壓缸的運動方程為
油氣蓄能器式中,ΔP表示換向閥及管道的壓力損失;A表示活塞斷面積;m表示活塞(包括活塞桿)及荷載質量;x表示活塞位移;f表示系統的粘阻係數;k表荷載彈簧剛度。
套用
1.作輔助動力源,減小裝機容量。某些液壓系統的執行元件是間歇動作,其總的工作時間很短,該系統裝設蓄能器後,在非工作期間,泵向蓄能器充油,在工作期間,泵與蓄能器一起向執行元件供油,這樣就可以採用一個較小的泵及動力機來完成工作,減小了動力機的功率。有些液壓系統雖不是間歇動作,但在一個工作循環內速度差別很大,如不裝蓄能器,必須按系統需求的最大流量選擇泵,裝蓄能器後,就可按系統所需的平均流量來選擇泵,這樣也可以減小動力機的功率。
2.消除脈動降低噪聲。如果液壓系統中採用柱塞泵且其柱塞數較少時,系統的壓力、流量等參數脈動很大,這將在液壓系統中產生振動和噪聲。在系統中裝設蓄能器,可顯著地降低脈動,從而使對振動敏感的儀表及閥的損壞事故大為減少,同時可以顯著地降低噪聲。
3.吸收液壓衝擊。換向閥突然換向,執行元件運動的突然停止,都會在液壓系統中產生壓力衝擊波。這種壓力衝擊波會引起系統壓力的顯著升高,造成系統中儀表、元件和密封裝置的損壞,並產生振動和噪聲。在控制閥或液壓缸等衝擊源之前裝設蓄能器,就可以吸收和緩衝這種液壓衝擊。
4.補償泄漏。對於需長時間保壓的液壓系統,持續地開動泵來補償內部泄漏是很不經濟的。可以用蓄能器補償內部泄漏來保持所需的壓力,而使泵卸荷,這樣可以延長泵的使用壽命並減少能耗。
5.作熱膨脹補償用。某些封閉式液壓系統,當系統受熱時,液壓油會發生體積膨脹,從而導致整個系統壓力升高。在系統中安裝一個蓄能器,就會吸收油液體積的增加,將系統壓力限制在安全範圍內。
6.作緊急動力源。某些系統要求當液壓泵發生故障或停電時,執行元件能繼續完成必要的工作。安裝的蓄能器就可作這種緊急動力源,儲存的能量在需要時可立即釋放出來,套用場合包括在冶煉廠或電站關閉閘閥等。
7.構成恆壓油源。工程上大多數液壓控制系統的油源為恆壓油源,蓄能器可與定量泵構成這類系統的恆壓油源。蓄能器還可以與恆壓泵構成二次調節系統的恆壓網路,這類系統的調速是通過改變變數馬達的排量來實現的。
8.蓄能器在能量回收方面的套用。能量回收是節能的一個重要途徑,很多場合下的動能、位置勢能都可以回收利用,從而提高能量的有效利用率。
①回收車輛的制動能量。在車輛制動過程中,車輛的慣性帶動泵向蓄能器充油,回收車輛的制動能量,同時形成制動力矩,使車輛制動。重新啟動車輛時,蓄能器放出其儲存的能量驅動泵呈馬達工況帶動車輪運轉。實驗表明,對於需要頻繁制動的城市公共汽車,制動能量的回收利用使得節油率可達30%。
②回收工程機械動臂機構的位能。許多工程機械如液壓挖掘機、裝載機、汽車起重機施工作業時,數萬牛噸重的動臂需要頻繁地升降,每次提臂過程中,動臂都要獲得位能,常規系統中,動臂的位能在降臂過程中通過節流限速閥大部分轉變成了熱能,造成能量損失、油溫升高。在系統中加裝蓄能器,使降臂過程中動臂的大部分位能轉化為壓力能儲存在蓄能器中。在再次升臂時,蓄能器中的油與油泵來油一起升臂,實現了能量回收利用,減少了發熱。
③回收液壓挖掘機轉台的制動能量。液壓挖掘機的轉台在工作中需頻繁啟制動,常規系統在制動過程中轉台的動能需經緩衝閥轉化為熱能浪費掉,能量損失很大。在液壓系統中加裝蓄能器,制動過程中驅動轉台的液壓馬達在慣性作用下呈泵工況向蓄能器充油,將轉台的動能轉化為液壓能儲存起來,同時形成制動力矩對轉台制動。在轉台再次啟動時,蓄能器中的油釋放出來帶動馬達驅動轉盤。實驗表明,與常規系統相比加裝蓄能器的迴轉系統可節能約30%。
④回收石油修井機及鑽機管柱下落的重力勢能。常規石油修井機及鑽機管柱下落的重力勢能需要靠剎車消耗掉,能量損失很大。特別研製的液壓蓄能修井機及鑽機可以用蓄能器回收管柱下落的重力勢能,加以重新利用。
⑤回收電梯下行的重力勢能。採用蓄能器的新型液壓電梯節能控制系統,可以回收液壓電梯下行的重力勢能儲存於蓄能器中,在電梯再次上行時釋放出來,幫助油泵推動電梯上行。

