定義
污泥比阻是表示污泥過濾特性的綜合性指標,它的物理意義是:單位質量的污泥在一定壓力下過濾時在單位過濾面積上的阻力。求此值的作用是比較不同的污泥(或同一污泥加入不同量的混合劑後)的過濾性能。污泥比阻愈大,過濾性能愈差。
計算
比阻抗公式:
式中:d V/d t=過濾速度,m /s; V=濾出液體積,m ; t=過濾時間,s; P=過濾壓力,N/m ; A=過濾面積,m ; C=單位體積濾出液所得濾餅乾重,kg/m ; r=污泥過濾比阻抗,m/kg; Rm=過濾開始時單位過濾面積上過濾介質的阻力,m/m ; μ=濾出液的動力粘滯度,N·s/m 。
污泥比阻當過濾壓力P為常數時,則可積分得:
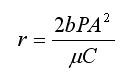
污泥比阻由該式發現 t/ V~ V呈直線關係,設直線斜率為b,則有
污泥比阻該公式即為測定污泥比阻的基本公式。
污泥比阻的測定試驗裝置
污泥比阻污泥比阻的評價範圍
1、比阻測定過程與真空過濾脫水過程基本相近,因此比阻能非常準確地反映出污泥的真空過濾脫水性能;
2、比阻也能比較準確地反映出污泥的壓濾脫水性能;
3、 比阻不能準確地反映污泥的離心脫水性能,因為該過程與比阻測定過程相差甚遠。
常見污泥的比阻值範圍
| 污泥種類 | 比阻值(×10m/kg) |
| 初沉污泥 | 46~61 |
| 活性污泥 | 165~283 |
| 消化污泥 | 124~139 |
| 污泥機械脫水的要求 | 1~4 |
顯然,一般污泥的比阻值都要遠高於機械脫水所要求的比阻值。因此,機械脫水前需要採取必要
的調理預處理措施降低污泥比阻。

