背景
水資源是21世紀稀缺的基礎自然資源。當前,水資源的供需矛盾制約著社會經濟的快速發展,提高水資源的利用效率是當務之急,水權交易市場應運而生。如何利用水權交易市場來重新分配水資源,即如何透過市場機制提高水資源利用效率,越來越多地被社會所重視。
在國外已有很多理論和成功的案例可供借鑑,但是經濟理論與國外經驗不能完全套用於中國現況。因此水權交易的制度建立與實施必須融人中國特有的背景當中,進行全面的評估。
市場
水權交易論著從西方水權交易發展來看,水權交易形態的發展趨勢是由短期交易(季節或年度租賃)擴大為永久性交易(也有學者認為永久性的水權交易可能對當地的經濟發展有所影響,因此不鼓勵這種方式),且交易範圍日益放寬。一般而言,水權交易市場通常在兩個層次上運作,即農業灌溉區內用水者之間(同一水區內)的交易,和農業用水者與都市用水者之間(不同水區內)的交易。僅通過這兩種交易所獲利益就相當可觀。
水權交易市場可以分成正式的與非正式的兩種類型,其差別在於交易是否透過行政或法院系統加以制度化。凡是必須經過嚴謹的行政或司法程式來規範水市場的運作,稱為正式市場,這是世界各國的主要發展趨勢。而非正式市場基本上是一種歷史文化的傳統習慣(例如農戶間以抽取時間計量的一次性水量轉移),隨著社會日趨複雜,水資源的日益匱乏,加上環保意識的日益重視,非正式市場已經面臨相當大的改革壓力,開始向制度化與正式化方向發展。
正式市場的出現通常是由於非農業用水者對於水量的急迫需求,因此正式市場成為推動農業與非農業水權交易的最主要動力。例如,美國加利福尼亞州的水銀行以及德克薩斯州的RioGrandeValley中99%的水權交易都是農業與非農業部門之間的交易,其中都市用水者的交易量占45%以上。很多文獻顯示,由於轉移用水的補償,農業用水轉移非農業用水會同時提升雙方的效用,且由此導致的農業產量的減產並不顯著(農民節水意識的提高而改進灌溉技術)。
市場運作
水權交易市場的具體運作,首先要分配水權,其次是制定交易規則。
分配水權
由於水量具有不確定性,因季節和年份變化很大,所以在國外多數流域將水權定義為流量的比率,即水權人擁有總水量的固定百分比,而實際擁有的水量是不確定的。水權的授予可以根據降雨量、灌溉面積、土地面積等來計算,且必須建立歷史資料庫。對於新水權需求者則以拍賣方式授予,前提是政府必須確定該水沒有其他使用者。地下水與地表水必須適用相同的規定,雖然也有適用不同的規定者(如亞利桑那州),但基本上地下水與地表水的交易方式應該相同,以避免產生市場交易的漏洞。
制定交易規則
不同的交易過程會在很大程度上影響交易成本。採用何種交易規則要視具體情況而言,最終目的在於保證交易市場效率的同時,儘可能地使交易成本最小化。綜合國外已有做法,交易規則大體可以有以下幾種設計:
建立買賣雙方交易的公布欄。買賣雙方的信息必須充分、公開,而設計公告欄是達成交易信息公開的主要方式。例如,NorthernColoradoWaterConservancyDistrict在50年代曾經將買賣雙方所欲交易的價格與地點貼在公告欄上,買方按出價價格的高低排列,賣方則按出售水量的多少排列,一目了然,由交易雙方自行尋找適當的價格與數量。這種方式雖然簡單,但成交價格不一致,也容易受到先後順序的影響。
將交易價格固定化。1991年加州水銀行就是採取這種方式,僅有兩種固定價格。這種做法的優點在於使水市場的運作不會有投機行為,缺點在於價格本身無法確實反映市場供需變化。也有學者提出水銀行可根據留川水量的需求程度制定一種允許價格隨供需浮動的機制,很有參考價值。
以密封投標方式進行買賣雙方的拍賣。投標者皆以秘密的投標方式出價,買賣雙方的投標者分別將按照購買數量與出售價格的高低加以排列,以便提高成交機會,並且不斷重複這種過程,一直到所有待出售的水量售完才停止拍賣程式。為避免交易過程過於繁瑣,此交易不適用於過多水權人之間的交易。
相關問題
溫室大棚的"水權交易"水權交易在實際執行方面困難重重的原因是,一方面其成長環境不成熟,未能保證其配套政策的實施,另一方面是其自身存在的一些問題。反對水的市場化最主要的論點包括交易中存在的交易成本和第三者效應,以及無法保證留川水量等。
交易成本
如果沒有交易成本,交易結果會使所有用水者的邊際使用價值相同,此時社會總效益自動達到最大化。交易成本通常是決定交易價格最重要的因素,如果實際交易成本很高,使交易難以成交,會導致不完全競爭的價格。因此水市場的效率受限於買方與賣方測量水量和水質、運送水等實施交易的各種能力。交易成本是影響水市場效率的關鍵。
根據美國加州水銀行的經驗,買賣雙方可能涉及的交易成本可以分為兩大類:行政交易成本和政策引導的交易成本。在設計交易制度時,如何儘可能地減少交易成本,需要與具體情況相結合進行綜合評估。
留川水量問題
水權交易網 水權交易制度容易遺漏的一個環節就是最小留川水量需求問題。水權交易會導致留川水量的減少,這也是水權交易帶來的第三者效應之一。之所以把留川水量影響特別提出,是由於通常最小留川水量具有公共財產性質,其重要性往往被忽視。
留川水用途包括水生物生存保障、野生動物飲水、景觀、釣魚、游泳、划船、運輸、發電等。其中發電作為可營利用途,已經被證明可以利用適當機製得到保障。
如何保障其他最小留川水量的需求?有三種做法可供選擇:
①有關部門根據河川性質及用途,制定每一段河段的最小留川水量需求,以此作為水權交易的限制。此種做法的優點是簡單易行,能夠確保既定標準不被破壞,但由於有關部門缺乏充分信息而無法把握尺度,且很難根據需求變動而實時調整,往往最小留川水量很難達到最優。
②將留川水權賦予特定管理單位,允許其參與到水權交易市場當中,如政府,環保團體,或者私人團體等。然而無論將留川水權賦予誰,都會存在許多問題而影響效率:若賦予政府會出現利益團體逐利現象,若賦予私人團體則由於留川水權擁有者無法有效地聯合起來而存在搭便車現象。
③作為交易平台的水銀行承擔保護最小留川水量的責任。每年年末水銀行根據來年的估計水量以及留川水量需求程度,制定出相應的水價,從而保障最小留川水量需求。上述做法各有優缺點,應結合實際情況權衡利弊採用。
第三者負效應
水權交易的基本原則,是必須符合利益性使用,以及不得對第三方造成任何破壞。而無限制的私人轉移水會導致第三者負效應,包括無限制的私人轉移水所帶來的留川水量的減少,以及由於留川水量稀釋和淨化作用的減少而導致水質的下降。這主要是由於不同用途的使用水的回流係數不同,從而導致水權交易可能減少交易雙方之間河段以及後續河段水量,從而影響留川水量和水質。
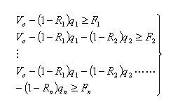
那么水權交易是如何影響留川水量呢?以只有本地回流情況為例,假設一條河流中的取水點分別為Z1,Z2,Z3,…Zn(圖1),Ri為回流係數,即在Zi點取用一單位水將會回流到Zi點的水量。
最小留川水量約束方程描述為:

由方程式可以看出,水權交易引起留川水量減少的根本原因,是由於不同用途的用水,其回流係數Ri不同。不同回流係數的水權若以1:1的方式自由交易,則會減少部分河段的留川水量,可能表現為三種情況:
①上游回流比率高的用水轉移給下游低回流用水,使得下游用水處的後續河段水流量減少;例如當R1>R2,若水權從Z1轉移到Z2會導致Z2之後所有河段的水流量減少。
②下游回流比率低的用水轉移給上游高回流用水,使得交易雙方之間河段水流量減少;例如當R1>R2,若水權從Z2轉移到Z1會導致Z2與Z3之間河段水流量減少。
③下游回流比率高的用水轉移給上游低回流用水,會使得上游用水處的後續河段水流量減少;例如當R2<R3,若水權從Z3轉移到Z2會導致Z2之後所有河段的流量減少。由此可見,1:1的傳統水權交易方式無法保障留川水量需求。為了保障任何交易不導致任一河段留川水量的減少,交易必須遵循一定的規則。
為了保障第三方的水權權益(包括水質和水量),應在交易制度上採取一定的限制,或者根據一定規則給予受害者補償。可供選擇的解決方案有以下幾種:
① 成立有關機構干涉水權交易市場,出面協調交易雙方以及第三方之間的關係,對某些嚴重影響第三方權益的交易進行嚴格限制。這正是目前水權市場的一般做法。然而此種做法增加了交易的行政成本,嚴重影響了水權市場的效率。
② 建立一套合理的補償機制,對交易引起的第三方損失給予補償。由於執法部門缺乏足夠的信息,難以實現合理而低成本的補償機制。
③ 設計一套完善的交易機制,使外部成本內部化,即在對水權交易比率進行設計時充分考慮外部成本內部化對交易雙方的激勵作用,以避免引起第三者負效應。例如限制不同回流比例用水之間的交易比例,以使其不影響任何第三者權益。事實上,利用市場機制將外部成本內部化乃是目前的發展趨勢。

