原理
直徑為d的圓管的水力半徑過水斷面面積與濕周之比即為水力半徑。
表達式為:R=A/χ
濕周為過水斷面上水流所濕潤的邊界長度。
基本解析
這是水力學中的一個專有名稱,指某輸水斷面的過流面積與輸水斷面和水體接觸的邊長(濕周)之比,與斷面形狀有關,常用於計算渠道隧道的輸水能力。
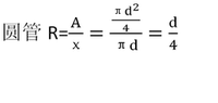
水力半徑例如直徑為d的圓管,當充滿液流時,A=πd^2/4,χ=πd 故水力半徑R=A/χ=d/4

水力半徑:是水力學中的一個專有名稱,指某輸水斷面的過流面積與輸水斷面和水體接觸的邊長之比,與斷面形狀有關,常用於計算渠道隧道的輸水能力。
直徑為d的圓管的水力半徑過水斷面面積與濕周之比即為水力半徑。
表達式為:R=A/χ
濕周為過水斷面上水流所濕潤的邊界長度。
這是水力學中的一個專有名稱,指某輸水斷面的過流面積與輸水斷面和水體接觸的邊長(濕周)之比,與斷面形狀有關,常用於計算渠道隧道的輸水能力。
水力半徑例如直徑為d的圓管,當充滿液流時,A=πd^2/4,χ=πd 故水力半徑R=A/χ=d/4
