計算公式
氣缸工作容積圖示
氣缸工作容積
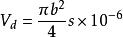
氣缸工作容積氣缸工作容積一般用 表示,計算公式如下:
氣缸工作容積式中, ——氣缸工作容積,單位L;
b——氣缸直徑,單位mm;
S——活塞行程,單位mm;
一台發動機全部氣缸工作容積的總和稱為發動機排量,用符號V(L)表示,即
氣缸工作容積氣缸容積
氣缸內部是活塞在往復運動來提供動力給汽車的。排量就是這個過程中活塞掃過(從上止點到下止點掃過)的容積,也就是有效容積。而氣缸容積則是指氣缸的總容積,等於氣缸工作容積與燃燒室容積之和。
發動機的工作容積等於氣缸容積乘以汽缸數。發動機的排量是最重要的結構參數之一,它比缸徑和缸數更能代表發動機的大小,發動機的許多指標都同排氣量密切相關。發動機排量的單位一般為升,家用乘用車的排量多在1.4-2.0升之間。
一般汽車的壓縮比大概在10:1左右,可以這樣理解:這裡的10就是汽缸容積,而那個1則是無效容積,而它們的差9則是排量。如果我們把燃料壓縮到體積為零的話,那就是容積等於排量了,而這是不可能的。
衝程
氣缸工作容積發動機的活塞從一個極限位置到另一個極限位置的距離稱為一個衝程。也稱之為行程。衝程的長度對發動機的活塞速度有直接的關係,衝程變大後活塞速度也會隨之增加,機械損耗也就越大,這將直接限制了發動機的最高轉速。活塞運動均速公式為: 。l為衝程,v為轉速。一般引擎的活塞均速不會超過20m/s,無論發動機排氣量大小或者運作轉速範圍。活塞速度越快對於發動機壽命也越不利。
影響
氣缸工作容積
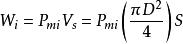
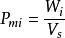
氣缸工作容積指示功 是指氣缸內完成一個工作循環所得到的有用功。它除了和循環中熱功轉換的有效程度有關外,還和氣缸容積的大小有關。為了能更清楚地對不同工作容積發動機工作循環的熱力轉換有效程度作比較,引出了平均指示壓力 的概念。所謂平均指示壓力(Pa),是指單位氣缸容積一個循環所做的指示功,即
氣缸工作容積
氣缸工作容積
氣缸工作容積
氣缸工作容積式中, 為發動機一個工作循環指示功(J)。 為發動機氣缸的工作容積( )。
氣缸工作容積
氣缸工作容積
氣缸工作容積若 用L為單位, 用kJ為單位,則(MPa)為
氣缸工作容積
氣缸工作容積
氣缸工作容積也可以寫成,其中D和S分別是為氣缸直徑和活塞行程由此可以引出平均指示壓力的第二概念,即平均指示壓力是一個假想的平均不變的壓力,以這個壓力作用在活塞頂上,使活塞移動一個行程S所做的功,即為循環的指示功。
氣缸工作容積平均指示壓力是從實際循環的角度評價發動機氣缸工作容積利用率高低的一個參數,越高,同樣大小的氣缸容積可以發出更大的指示功,氣缸工作容積的利用程度越佳。平均指示壓力是衡量發動機實際循環動力性能的一個很重要的指標。 所以氣缸工作容積也是影響發動機實際循環動力性能的一個很重要的指標。

