基本信息
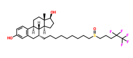
中文名稱:氟維司群
中文別名:(7a,17b)-7-[9-(4,4,5,5,5-五氟戊亞磺醯基)壬烷基]-雌甾-1,3,5-(10)-三烯-3,17-二醇
英文名稱:Fulvestrant
英文別名:(7a,17b)-7-[9-[(4,4,5,5,5-pentafluoropentyl)sulfinyl]nonyl]estra-1,3,5(10)-triene-3,17-diol; (7alpha,17beta)-7-{9-[(4,4,5,5,5-pentafluoropentyl)sulfinyl]nonyl}estra-1,3,5(10)-triene-3,17-diol; (17beta)-7-{9-[(4,4,5,5,5-pentafluoropentyl)sulfinyl]nonyl}estra-1,3,5(10)-triene-3,17-diol
CAS號:129453-61-8
分子式:C32H47F5O3S
分子量:606.7708
物理參數
密度:1.201g/cm3
沸點:674.8°C at 760 mmHg
閃點:361.9°C
蒸汽壓:3.95E-19mmHg at 25°C

