介紹
在相移鍵控(PSK)中,數據是通過載波信號的相移來表示的。相比於最簡單的二進制相移鍵控(Binary Phase-Shift Keying, BPSK),若讓一個信號元素代表多個比特,就能更有效地利用頻寬。一種常用的編碼技術使用的相位偏移值為π/2(90°)的倍數,而不像BPSK中只允許存在180°的相位偏移,這種技術稱為正交相移鍵控(QPSK):
正交相移鍵控這樣,一個信號元素代表了兩個比特,而不是一個。
在數位訊號的調製方式中QPSK是最常用的一種衛星數位訊號調製方式,它具有較高的頻譜利用率、較強的抗干擾性、在電路上實現也較為簡單。偏移四相相移鍵控信號簡稱“O-QPSK”。全稱為offset QPSK,也就是相對移相方式OQPSK。
相關
①在HFC網路架構中,從用戶線纜數據機發往上行通方式調製,並用TDMA方式復用到上行通道。
②在基於DVB-S的衛星通信電視系統中,衛星輸出的電磁波信號就是使用QPSK調製方式的
原理
下圖是描繪正交相移鍵控機制的概況圖。
正交相移鍵控
正交相移鍵控
正交相移鍵控
正交相移鍵控
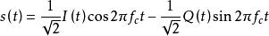
正交相移鍵控圖中的輸入是數據率為 R=1/ 的二進制數字流,其中 是每比特持續時間。通過一次一個地交替讀取,這個數字流將被轉化成兩個獨立的二進制流,數據率都是 R/2bps。這兩個二進制流分別稱為I(同相位)流和Q(正交相位)流。圖上方的二進制流被調製為 的載波上,也就是將該二進制流與載波相乘。是調製器的結構簡單,我們將二進制的1映射為- 。這樣二進制的1就可以用單位化的載波來表示,而二進制的0則用單位化的載波的負值表示,兩者的振幅都是恆定的。同樣這個載波經過90°的相移後用來調製圖下方的二進制流,然後將這兩個經過調製的信號疊加並傳輸。傳輸的信號表示如下:
正交相移鍵控QPSK
下圖所示為正交相移鍵控的一個具體例子。兩個調製過的信號流都是BPSK信號流,其數據率為原始比特率的一半。因此,組合後的信號速率為輸入比特速率的一半。請注意,從一個信號到下一個信號,發生180°(π)相位大轉變是可能的。
正交相移鍵控特點
數字調製用“星座圖”來描述,星座圖中定義了一種調製技術的兩個基本參數:
(1)信號分布;(2)與調製數字比特之間的映射關係
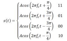
星座圖中規定了星座點與傳輸比特間的對應關係,這種關係稱為“映射”,一種調製技術的特性可由信號分布和映射完全定義,即可由星座圖來完全定義。四相相移調製是利用載波的四種不同相位差來表征輸入的數字信息,是四進制移相鍵控。QPSK是在M=4時的調相技術,它規定了四種載波相位,分別為45°,135°,225°,315°,調製器輸入的數據是二進制數字序列,為了能和四進制的載波相位配合起來,則需要把二進制數據變換為四進制數據,也就是說需要把二進制數字序列中每兩個比特分成一組,共有四種組合,即00,01,10,11,其中每一組稱為雙比特碼元。每一個雙比特碼元是由兩位二進制信息比特組成,它們分別代表四進制四個符號中的一個符號。QPSK中每次調製可傳輸2個信息比特,這些信息比特是通過載波的四種相位來傳遞的。解調器根據星座圖及接收到的載波信號的相位來判斷發送端傳送的信息比特。
正交相移鍵控
正交相移鍵控首先將輸入的串列二進制信息序列經串-並變換,變成m=log2M個並行數據流,其中每一路的數據率是R/m(R是串列輸入碼的數據率)。I/Q信號發生器將每一個m比特的位元組轉換成一對(pn,qn)數字,分成兩路速率減半的序列,電平發生器分別產生雙極性二電平信號I(t)和Q(t),然後對 和 進行調製,相加後即得到QPSK信號。
QPSK是一種頻譜利用率高、抗干擾性強的數調製方式, 它被廣泛套用於各種通信系統中,適合衛星廣播。例如,數字衛星電視DVB-S2標準中,信道噪聲門限低至4.5dB,傳輸碼率達到45Mb。
實施
採用QPSK調製方式,同時保證了信號傳輸的效率和誤碼性能。
一般的QPSK的實施,也表明高階PSK的實施。在星座圖中的正弦和餘弦波用來傳輸方面的書面符號:
這就產生了四個階段π/4,3π/4,5π/4和7π/4需要。
這個結果與單位的基礎上功能在一個兩維的信號空間被用作信號的同相分量和正交分量信號的第二首的基礎功能。
因此,信號星座組成的信號空間4點,1/2的因素表明,兩家運營商之間的分裂,同樣的總功率。
這些基礎功能,為BPSK比較清楚地表明如何觀看可以作為兩個獨立的BPSK信號的QPSK。注意的BPSK信號空間分不需要分裂BPSK的星座圖中顯示的兩家運營商在該計畫的符號(位)能源的。
QPSK系統,可以實現在許多方面。發射機和接收機結構的主要組成部分的說明如下。
QPSK概念發射機結構。的二進制數據流分割成相和正交相的組成部分。這 些都是再分別調製到兩個正交的基函式。在此實現中,兩個血竇。之後,這兩個信號疊加,產生的信號是QPSK信號。注意:使用極不返回到零編碼。可以擺在這 些編碼器的二進制數據源,但已放置後,說明涉及數字調製的數字和模擬信號之間的概念差異。
對於QPSK接收機結構。匹配的過濾器,可以與相關器代替。每個檢測裝置使用的參考閾值,以確定是否檢測到1或0。
正交
QPSK-OQPSK
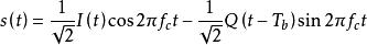
上文中關於描繪正交相移鍵控機制的概況圖同時還描繪了QPSK的另一種形式,稱為偏置正交相移鍵控(OQPSK)或正交QPSK(Orthogonal QOSK)。它與QPSK的區別是在Q流中引入一個比特時間的時延,結果得到如下信號
正交相移鍵控OQPSK是在QPSK基礎上發展起來的一種恆包絡數字調製技術。 恆包絡技術是指已調波的包絡保持為恆定,它與多進制調製是從不同的兩個角度來考慮調製技術的。恆包絡技術所產生的已調波經過傳送帶限後,當通過非線性部件 時,只產生很小的頻譜擴展。這種形式的已調波具有兩個主要特點,其一是包絡恆定或起伏很小;其二是已調波頻譜具有高頻快速滾降特性,或者說已調波旁瓣很 小,甚至幾乎沒有旁瓣。採用這種技術已實現了多種調製方式。OQPSK信號,它的頻帶利用率較高,理論值達1b/s/Hz。在QPSK中,當碼組0011 或0110時,產生180°的載波相位跳變。這種相位跳變引起包絡起伏,當通過非線性部件後,使已經濾除的帶外分量又被恢復出來,導致頻譜擴展,增加對相鄰波道的干擾。為了消除180°的相位跳變,在QPSK基礎上提出了OQPSK。
一個已調波的頻譜特性與其相位路徑有著密切的關係,因此,為了控制已調波的頻率特性,必須控制它的相位特性。恆包絡調製技術的發展正是始終圍繞著進一步改善已調波的相位路徑這一中心進行的。
OQPSK也稱為偏移四相相移鍵控,是QPSK的改進型。它與QPSK有同樣的相位關係,也是把輸入碼流分成兩路,然後進行正交調製。不同點在於它將同相和正交兩支路的碼流在時間上錯開了半個碼元周期。由於兩支路碼元半周期的偏移,每次只有一路可能發生極性翻轉,不會發生兩支路碼元極性同時翻轉的現象。因此,OQPSK信號相位只能跳變0°、±90°,不會出現180°的相位跳變。
從上文中的波形圖可以觀察到在任何時間一對比特中只有隻有一個比特可以改變符號,因此疊加後信號的相位變化有緣不會超過90°(π/2)。這就是一個優勢,因為調相器物理上的局限性使它很難在高速工作時完成大相位的變化。當傳輸信道(傳送器和接收器)中有強非線性元件時,OQPSK還是能提供較好的性能。非線性的影響是信號頻寬的擴散,這可能會導致對相鄰信號的干擾。如果相位變化不大,這種信號頻寬的擴散也比較容易控制,所以說OQPSK比QPSK更具優勢。
案例
連續相位四分之派差分編碼正交相移鍵控調製、解調裝置是分別用來產生連續相位π/4DQPSK調製信號和實現其解調功能的裝置。該裝置以大規模可程式邏輯器件FPGA或複雜可程式邏輯器件CPLD為核心,加上模數轉換A/D、數模轉換D/A、濾波器、鎖相環等少量其它功能晶片,將實現連續相位π/4DQPSK調製、解調的大部分功能模組由FPGA或CPLD器件的內部資源來完成,可以大大提高移動通信系統的穩定性和可靠性,並便於電路的集成化。該裝置套用於移動通信系統,可使其明顯的壓縮頻寬,提高頻率利用率。
套用
使用差分正交相移鍵控的光接收器和對應的光接收方法。在根據本發明的光接收器中,以45度的線性偏振狀態將所輸入的經過差分正交相移鍵控(DQPSK)的信號光入射到PANDA型光纖上,以在該DQPSK信號光中的正交偏振分量之間產生與一個碼元相對應的延遲時間差,然後由半反射鏡將該信號光分支為兩路,以將其分別傳送到第一和第二路徑,由此通過設定在這些路徑之一上的1/4波片在通過各個路徑傳播的光之間提供π/2的相對雙折射量差。然後由偏振分束器將通過第一和第二路徑傳播的各個光分離為兩個正交偏振分量,並由差分接收電路接收各個偏振分量,以對DQPSK信號中的同相分量和正交分量進行解調。由此,提供了能夠對DQPSK信號穩定地進行解調的小型並且低成本的光接收器。
QPSK數位電視調製器在對數據流的處理上採用能量擴散的隨機化處理、RS編碼、卷積交織、收縮卷積編碼、調製前的基帶成形處理等,保證了數據的傳輸性能。QPSK數位電視調製器採用了先進的數位訊號處理技術,完全符合DVB-S標準,接收端可直接用數字衛星接收機進行接收。它不但能取得較高的頻譜利用率,具有很強的抗干擾性和較高的性能價格比,而且和模擬FM微波設備也能很好的兼容。
性能特點
1、進行原有的電視微波改造,可用30M頻寬傳送5至8套DVD效果的圖像;
2、用調頻微波的價格達到MMDS的效果,實現全向發射;
3、可進行數字加密,對圖象絕無任何損傷。
註:中國的3G制式(CDMA2000,WCDMA,TD-SCDMA)均在下行鏈路上採用QPSK調製。

