基本介紹
歐拉運動學方程
歐拉運動學方程
歐拉運動學方程
歐拉運動學方程假定剛體固結參考系 在慣性參考系 中有旋轉運動, 瞬時旋轉角速度為 ,三個分量記為 。
歐拉運動學方程
歐拉運動學方程
歐拉運動學方程
歐拉運動學方程
歐拉運動學方程
歐拉運動學方程
歐拉運動學方程
歐拉運動學方程
歐拉運動學方程
歐拉運動學方程
歐拉運動學方程
歐拉運動學方程
歐拉運動學方程
歐拉運動學方程
歐拉運動學方程
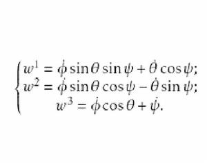
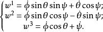
歐拉運動學方程本體赤道面 與平均赤道面 有一個交線,從原點 沿上述交線的一方引伸出一個射線,稱之為 節線 ,節線與 之間的夾角稱為 進動角,用 表示;瞬時軸 與 之間的夾角稱為 自轉角,用 表示; 與 之間的夾角稱為 章動角,用 表示。自轉角 、進動角 和章動角 通稱Euler角,是由Euler引進的。三個Euler角可以完全描述任意一個剛體的旋轉運動,原因在於:一個點由三個獨立坐標描述;一個剛體通常需要不在同一條直線上的三個點(共9個坐標)來描述;將其中的一個點選為原點,則只需要2個點即6個坐標來描述;但3個點之間存在3個距離方程,因而獨立的坐標數只有3個;3個Euler角正好構成一組獨立坐標。在事先不知道剛體的旋轉運動規律的前提下,要想確定這種旋轉運動,則需要求解Euler運動學方程和Euler動力學方程。
方程形式
根據三個Euler角的定義不難寫出如下關係:
歐拉運動學方程
歐拉運動學方程
歐拉運動學方程其中 表示繞地固質心坐標系 軸的旋轉角速度。上式便是著名的 Euler運動學方程,即 歐拉 運動學方程。
準慣性系中的表達形式
歐拉運動學方程
歐拉運動學方程將旋轉角速度 在準慣性系 中表示出來:
歐拉運動學方程
歐拉運動學方程
歐拉運動學方程
歐拉運動學方程其中 表示繞地心準慣性坐標系 軸的旋轉角速度( )。
相關概念
歐拉角
歐拉運動學方程
歐拉運動學方程剛體定點運動的自由度為3,如何選擇3個變數,使它們既能簡單、明確、單值地確定剛體位置,又能獨立變化,這對簡化定點運動的描述是非常重要的,剛體力學的奠基者歐拉(Leonhard Euler,1707一1783)成功地、巧妙地解決了這個問題,他選擇3個角度,即著名的歐拉角(Euler angles)作為描述剛體定點運動的變數,具體選擇方法如下:以固定點為原點建立靜正坐標系 ,再以固定點為原點建立與剛體固連的動坐標系 如圖1。
圖1
歐拉運動學方程
歐拉運動學方程
歐拉運動學方程
歐拉運動學方程
歐拉運動學方程
歐拉運動學方程
歐拉運動學方程
歐拉運動學方程
歐拉運動學方程確定剛體位置等價於確定動坐標的位置,他用兩個角度確定z軸的位置,一個是z軸對 軸的傾角 角,另一個是用來確定z軸的方位,它是 面與平均赤道面 面的交線ON與 軸的夾角,交線ON稱為 節線;這兩個角確定後,z軸的位置就確定了,但動坐標系還可以繞z軸轉動,若動坐標的x軸與節線的夾角 確定了,則動坐標的位置完全確定,這樣選取的3個角 , , 稱為 歐拉角。
歐拉運動學方程它們的量度方向如圖所示,它們的變化範圍分別為: 。
這3個角可以獨立變化,即這3個變數是獨立的,從運動學上,它們之間不存在依賴關係(即函式關係),最能說明其獨立性的事實是:當任何一個角自由改變時,其他兩個角可以保持不變,如以下三種情況是可能的。
歐拉運動學方程
歐拉運動學方程
歐拉運動學方程
歐拉運動學方程
歐拉運動學方程
歐拉運動學方程
歐拉運動學方程
歐拉運動學方程1. 僅 角改變,保持 , 不變。這種運動相應於z軸與 軸間夾角不變,z軸在靜止空間中沿圓錐面運動,同時 角也保持不變,這種運動稱為 進動(precession),相應的角速度稱為 進動角速度,它的大小和方向為 , 為 軸的單位矢量。
歐拉運動學方程
歐拉運動學方程
歐拉運動學方程
歐拉運動學方程
歐拉運動學方程
歐拉運動學方程
歐拉運動學方程
歐拉運動學方程
歐拉運動學方程2. 僅角改變,保持,角不變。剛體的這種運動稱為章動(nutation),相應的角速度為章動角速度,它的大小和方向為,為沿節線的單位矢量。
3. 僅角改變,保持,角不變。剛體的這種運動稱為自轉(rotation),相應的角速度為,稱為自轉角速度,k為z軸的單位矢量。
當3個角同時變化,三種運動同時存在時,剛體的角速度為3個分角速度的合成。
歐拉運動學方程
