相關概念
二階系統
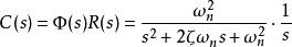
典型二階系統的閉環傳遞函式為
欠阻尼二階系統 二階系統通常表示為單位負反饋的結構形式。二階系統有兩個結構參數阻尼比ζ和無阻尼振盪頻率ω。
輸出量的拉普拉斯變換式
欠阻尼二階系統 設初始條件為零,當輸入量為單位階躍函式時,輸出量的拉普拉斯變換式為。
閉環系統的特徵方程
欠阻尼二階系統 閉環系統的特徵方程為,
欠阻尼二階系統 特徵根為。
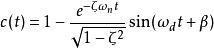
欠阻尼二階系統的單位階躍回響
欠阻尼二階系統 當 時,閉環系統特徵方程的特徵根為一對共軛復根。
輸出量
欠阻尼二階系統
欠阻尼二階系統
欠阻尼二階系統 其中,阻尼振盪角頻率 ,阻尼角 。
欠阻尼二階系統的動態性能指標
上升時間
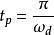
欠阻尼二階系統 峰值時間
欠阻尼二階系統 超調量
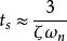
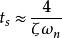
欠阻尼二階系統 調節時間
欠阻尼二階系統 (取△=5%);
欠阻尼二階系統 (取△=2%)。

