定義
Q因子可定義為在一系統的共振頻率下,當信號振幅不隨時間變化時,系統儲存能量和每個周期外界所提供能量的比例(此時系統儲存能量也不隨時間變化):
品質因子大部份的共振系統都可以用二階的微分方程表示,Q因子中2π的係數,使Q因子可以表示成只和二階微分方程係數有關的較簡單型式。在電機系統中,能量會儲存在理想無損失的電感及電容中,損失的能量則是每個周期由電阻損失能量的總和。力學系統儲存的能量是該時間動能及位能的和,損失的能量則是因為摩擦力或阻力所消耗的能量。
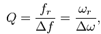
針對高Q因子的系統,也可以用下式計算的Q因子,在數學上也是準確的:
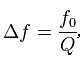
品質因子其中fr為共振頻率,Δf為頻寬,ωr=2πfr是以角頻率表示的共振頻率,Δω是以角頻率表示的頻寬
在像電感等儲能元件的規格中,會用到和頻率有關的Q因子,其定義如下:
品質因子其中ω是計算儲存能量和功率損失時的角頻率。若電路中只有一個儲能元件(電感或是電容),也可用上式來定義Q因子,此時Q因子會等於無功功率相對實功功率的比例。
Q因子及阻尼
Q因子可決定一個簡單阻尼諧振子的量化特性。
低Q因子的系統(Q< ½)是過阻尼系統。過阻尼系統不會振盪,當偏離穩態輸出平衡點時,會以指數衰減的方式,漸近式的回到穩態輸出。其衝激回響是二個不同速度的指數衰減函式的和。當Q因子減少時,衰減較慢的回響函式其影響會變明顯,因此整個系統會變慢。一個Q因子很低的二階系統其步階回響類似一階系統。
高Q因子的系統(Q> ½)是欠阻尼系統。欠阻尼系統在特定頻率的輸入下,其輸出會振盪,其振幅也會指數衰減。Q因子略高於½的系統可能會振盪一或二次。若Q因子提高,阻尼的效果也會降低。高品質的鐘在敲擊後可以長時間發出單一音調的聲音,沒有阻尼的諧振系統其Q因子是無限大,類似一個敲擊後可永遠發出聲音的鐘。若二階低通濾波器有很高的Q因子,其步階回響一開始會快速上升,在平衡點附近震盪,最後才收斂到穩態的值。
Q因子為½的系統是臨界阻尼系統。臨界阻尼系統和過阻尼系統一様不會震盪,也不會有過沖的情形。臨界阻尼系統和欠阻尼系統一様,會對階躍有快速的回響,臨界阻尼可以使系統在不過沖的條件下有最快的反應,實際的系統若要求更快的反應,一般會允許一定程度的過沖,若系統不允許過沖,可能會使反應時間放慢,以提供一定的安全係數。
在負回授系統中,閉迴路系統的回響常常用二階系統來表示。設定開迴路系統的相位裕度可以決定閉迴路系統的Q因子,當相位裕度減少時,對應的二階閉迴路系統振盪會變大,也就是Q因子提高。
常見系統的Q因子
單位增益的Sallen–Key拓撲結構濾波器為臨界阻尼系統,Q因子為)。
巴特沃斯濾波器(有最平坦通帶頻率回響的的連續時間濾波器)為欠阻尼系統,Q因子為。
貝塞爾濾波器(有最平坦群延遲的連續時間濾波器)為欠阻尼系統,Q因子為。
Q因子的物理含義
根據物理學,Q因子等於乘以系統儲存的總能量,除以單一周期損失的能量,也可以表示為系統儲存的總能量和單位弳度損失能量的的比值。
Q因子是無量綱的參數,是比較系統振幅衰減的時間常數和振盪周期後的結果。當Q因子數值較大時,Q因子可近似為系統從開始振盪起,一直到其能量剩下原來的(約1/535或0.2%),中間歷經的振盪次數。
共振的頻寬可以用下式表示
品質因子
品質因子其中
為共振頻率,
為頻寬,也就是能量超過峰值能量一半以上的頻率範圍。
Q因子、阻尼比ζ及衰減率α之間有以下的關係
品質因子因此Q因子可表示為
品質因子而指數衰減率可表示為
品質因子二階低通濾波器的回響函式可以用下式來表示
品質因子若此系統的(欠阻尼系統),系統有二個共軛複數極點,其實部為。衰減參數表示其衝激回響指數衰減的速率。Q因子大表示其衰減率較慢,因此Q因子很大的系統可以持續振盪較長的時間。例如高Q因子的鐘,用錘子敲擊後,其輸出近似純音,且可以維持很長的時間。
電子系統
對電子共振系統而言,Q因子表示電阻的影響,若針對機電共振系統(例如石英晶體諧振器),也包括摩擦力的影響。
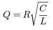
RLC電路
濾波器振幅增益理想串聯RLC電路的Q因子為:
品質因子其中R、L及C分別是電路的電阻、電感和電容,若電阻值越大,Q因子越小。
並聯RLC電路的Q因子恰為對應串聯電路Q因子的倒數:
品質因子若將電阻、電感和電容並聯形成一電路,並聯電阻值越小,其阻尼的效果越大,因此Q因子越小。
若是電感和電容並聯的電路,而主要損失是電感內,和電感串聯的電阻R,其Q因子和串聯RLC電路相同,此時降低寄生電阻R可以提升Q因子,也使頻寬縮小到需要的範圍內。
儲存元件
個別儲存元件的Q因子和對應信號頻率有關,一般是電路的共振頻率。電感器的Q因子為:
品質因子其中:
W為頻率。
L為電感。
品質因子為電感器的感抗。
R為電感內的電阻。
電容器的Q因子為:
品質因子W為頻率。
C為電容。
品質因子為電容器的容抗。
R為電容內的電阻。
力學系統
對於一個有阻尼的質量-彈簧系統,可以用Q因子表示簡化的黏滯阻尼或阻力對系統的影響,其中的阻尼力(或阻力)和速度成正比。此系統的Q因子可以用下式表示:
品質因子其中M是質量,k是彈簧常數,而D是阻力係數,可用下式來定義:
品質因子
品質因子其中是
阻力,是v速度。
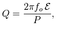
雷射系統
雷射系統中,光學共振腔的Q因子可以用下式表示
品質因子
品質因子其中為
共振頻率,
為共振腔中儲存的能量,為耗散的能量。光學共振腔的Q因子等於共振頻率和共振腔頻寬的比值。共振光子的平均壽命和Q因子成正比,若雷射共振腔中的Q因子突然地調高,共振腔會輸出雷射脈衝,其強度遠高於平常共振腔連結輸出的強度,此技術稱為為Q切換。
地層的品質因子
地層的品質因子Q是描述岩石彈性的重要參數,也是指示地層含油氣性的重要標誌之一。常用品質因數Q及其倒數Q-1來度量衰減。Q值是儲能與耗散能的比率,它作為岩石的-個內稟特性。
品質因子Q表征了地球作為傳輸地震波介質的品質,稱為地球介質的品質因子。能描述介質對地震能量的吸收和散射。品質因子與孔隙度無明顯關係,而隨著滲透率的增加呈現出明顯的對數減小。
品質因子(ZT)
品質因子(ZT)是描述量子下體系熱電效應好壞的物理量,是一種無量綱的物理量。

