標準公式
橢圓體S=2π*c^2+2πab/sin(φ)*(E(φ,k)*(sin(φ)^2)+F(φ,k)*(cos(φ)^2))
cos(φ)=c/a
k^2=[a^2(b^2-c^2)]/[b^2(a^2-c^2)] a≥b≥c
其中E(φ,k)和F(φ,k)是橢圓積分
近似公式:
① S=πb/(100a)(17a+3b)^2
② S=4πb(sin45°(a-b)+b)
如果不要求很高的精度,①②兩公式基本滿足。
如果需要更高精度,則用下列公式即可,(此公式包含了割圓術公式)
S=πb/(100a)(16.9a+3.1b)2((a-b)/a)6/arctg((a-b)/a)6
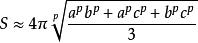
橢圓體③
p≈ 1.6075 ,相對誤差1.061%(Knud Thomsen公式)
體積
V= 4/3*πabc (a與b,c分別代表x軸、y軸、z軸的一半)

