成份
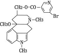
樂喜林本品主要成份為尼麥角林,其化學名為10α-甲氧基-1,6-二甲基麥角林-8β-甲醇基-5′-溴煙酸酯。
其結構式為:
分子式:CHBrNO
分子量:484.39
性狀
本品為粉紅色片。
適應症
適用於急、慢性血管性或代謝性腦功能不全(腦動脈硬化、腦血栓和栓塞、短暫性腦缺血發作)。
適用於急性、慢性周圍血管性功能不全(雷諾氏綜合症、肢體血管閉塞性疾病及其它末梢循環不良症狀),頭痛。
本品可用於動脈高血壓、中風后偏癱患者的輔助治療。改善腦梗塞後遺症引起的意欲低下和情感障礙(感覺遲鈍、注意力不集中、記憶力衰退、缺乏意念、憂鬱、不安等)。
規格
5mg 。
用法用量
口服,每次1-2片(5-10 mg),每日3次,或遵醫囑。
不良反應
少數病人有輕微副作用,通常與其擴張血管作用有關,一般有輕微的胃部不適,潮熱潮紅,嗜睡或失眠。
禁忌
有出血傾向或對尼麥角林(麥角溴煙酯)過敏者禁用。
注意事項
1.病人應遵醫囑使用。
2.本品能增加降壓藥的作用,因此與降壓藥合用應慎重。
3.腎功能不良者應減量。
4.服藥期間應禁止飲酒。
5.孕婦一般不宜套用,必需時,應權衡利弊。
6.應妥善保管勿造成小孩誤食。
孕婦及哺乳期婦女用藥
本品缺乏足夠的孕婦用藥後資料。如孕婦確需使用本品,需慎用。
兒童用藥
本品兒童用藥的安全性和有效性尚未明確定論。
老年用藥
老年人使用本品,一般無需調整劑量。或遵醫囑。
藥物相互作用
人體試驗發現,尼麥角林與降壓藥合用時能增加降壓藥的作用。
藥物過量
對過量使用本品,尚無經驗。如果過量使用,急需清除腸胃中殘存藥物及相應支持治療。
藥理毒理
本品為半合成的麥角鹼衍生物。有α腎上腺素受體阻滯作用和血管擴張作用。可加強腦細胞能量的新陳代謝,增加氧和葡萄糖的利用。可促進神經遞質多巴胺的轉換而增強神經傳導,加強腦部蛋白質生物合成,改善腦功能。
藥代動力學
文獻報導:口服後快速從胃腸吸收,1-1.5小時後,可達最高血藥濃度,消除半衰期約為2.5小時。約70-80%的尼麥角林或其代謝產物經腎臟排泄。
貯藏
遮光,密閉保存。
包裝
鋁塑包裝, 8片/板×3板/盒,12片/板×2板/盒,12片/板×3板/盒。
有效期
36個月。
執行標準
WS-(X-256)-2004Z-2010。
批准文號
國藥準字 H20000482。
生產企業
崑山龍燈瑞迪製藥有限公司
核准日期
2006年8月23日
修訂日期
2010年09月21日
