樁的軸向承載力
正文
單樁在產生一定的樁頂變形條件下所能支承的最大軸向靜荷載。在保證樁身結構強度的前提下,樁的軸向承載力主要取決於樁周土的性狀。由土的性狀確定的樁的承載力,是通過樁側土阻力及樁尖地基土承載力的發揮而獲得(圖1a)。荷載首先通過樁側阻力向土中傳遞。樁側阻力隨樁身與土間的相對剪下位移增大而逐漸發揮,其大小與樁側的有效法向應力有關。充分發揮土的側摩阻力所需的樁土相對位移量不大,一般為6~10毫米。發揮樁尖地基承載力需要較大的樁尖位移,此種位移與持力層性質、樁尖標高處的覆蓋壓力、樁的設定方法及樁徑有關,灌注樁中可高達樁徑的30%,打入樁約為樁徑的10%。
樁的軸向承載力目前確定單樁軸向承載力的方法,有靜荷載試驗、理論計算、經驗公式和動力公式等方法。
靜荷載試驗法 工程中直接評價單樁軸向承載力的方法。試驗時在樁頂分級載入,同時測定樁頂位移。每級荷載維持到滿足規定的相對穩定標準。然後加次級荷載,如此重複直到破壞或達到規定的樁頂總位移量為止,接著分級卸載並以同樣方法觀測樁頂回彈量。
樁頂荷載р與實測相對穩定位移S關係曲線常用來評定單樁承載特性。р-S曲線隨地層變化而有不同形狀。常見的р-S曲線有兩種情況:第一種情況是曲線上出現明顯的陡降段,即荷載不再增加而沉降不斷增加(圖2)曲線1;出現此現象的對應荷載可作為破壞荷載。第二種情況是曲線上無明顯的陡降段(圖2)曲線,這時只能用經驗方法確定極限承載力,如按給定的樁頂下沉量或卸載後的樁頂殘留下沉量Sr確定破壞荷載。工程設計中常取破壞荷載的前一級荷載作為樁的極限承載力。極限承載力除以適當的安全係數 K即為工程中在該土層條件下採用的單樁容許承載力【рa】。單樁的靜荷載試驗應採用和工程樁相同尺寸、材料、土層條件以及設定方法的樁,在不做破壞性試驗時可利用工程樁進行。試驗應在設樁過程對土的擾動影響基本消除後開始。
樁的軸向承載力理論計算法 靜荷載試驗常受具體條件限制而無法進行,可按土的特性指標按(1)式估算樁的軸向承載力。
рj=рs+рb (1)
式中рj為樁的極限承載力;рs為樁側阻力;рb為樁底承載力。
一般情況下
рs=ULk勎vtgδ′ (2)
在飽和粘性土中
рs=ULαCu (3)
式中U、L為樁周長及在土層中的長度;勎v為有效覆蓋壓力;k為側壓力係數;α 為粘著係數,隨土質及荷載性質而定;Cu為土的無排水抗剪強度;δ′為土的有效強度參數。
樁尖下地基土受載後形成一個高密度的錐形土楔,將土推向四周並在近旁土體內形成塑性區。樁尖下地基土的極限承載力可由塑性理論或非線性彈塑性理論估算:
рb=(KcCNc+Kq勎LNq)Ab(4)
式中Kc、Kq為樁底截面的形狀係數;Ab為樁尖處截面積;勎L為樁尖標高處的豎向有效應力;Nc和Nq為承載力係數,按不同假定計算所得樁尖地的Nc、Nq值有顯著的差別。70年代提出的計算粘土中打入樁軸向承載力的有效應力理論,全面地考慮了從樁的打入、樁周土的重新固結直到樁支承荷載整個過程的應力變化。但是,打入樁的排土及重塑作用,上層土隨樁身帶入的影響,打樁振動、射水沉樁以及鑽孔樁對樁周土的擾動等因素難以準確測定,所以在工程中套用理論公式時,尚需憑經驗予以修正。
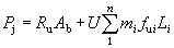
經驗公式法 將實測或經驗劃分的樁側阻力與樁底承載力,分別按土類及其他因素進行統計可得單位面積上樁側的極限摩擦力 fu及樁尖極限承載力 Ru值的範圍,故單樁的容許承載力рj為
(5)
式(5)中的fu及Ru值還可通過靜力觸探試驗的探頭側壁阻力與探頭端阻力(或比貫入阻力)求得;也可與動力觸探或標準貫入試驗擊數聯繫起來。觸探資料是在土層內連續測定的,對土性有較準確的反應,在適當考慮樁及探頭間的尺寸效應後預測樁的承載力,一般能符合工程要求。困難是現有觸探設備能量常不足以達到長樁所要求的深度。
動力公式法 在理想的彈性體碰撞理論基礎上,以一次錘擊提供的能量與在樁身打入的距離(稱為貫入度)上克服樁周土阻力所作的功相等為條件,求得樁的極限承載力。它粗略假定樁周土阻力是在撞擊瞬時全部同時出現的,但忽略了打樁動阻力與靜載下樁的承載力間的差別。常用的美國《工程新聞》公式是1888年提出的這類早期公式之一,後經不斷修改,迄今公式已有數百個。動力公式法的特點是測定方法簡單,可在每根打入樁上套用,以砂土中較為適用,尤其在貫入度與承載力的關係為已知時(如通過試樁的靜荷載試驗確定),仍不失為現場控制打樁的有效手段。
單樁軸向承載力取決於許多因素,一般包括:容許沉降值、荷載類型、土質條件、設定方法、樁材等。結合現場地質條件和設樁能力,正確選定樁尖持力層及進入深度是提高軸向承載力的關鍵。也有在樁尖或樁身局部用擴大斷面的辦法來提高樁的承載力。
參考書目
華南工學院等編:《地基及基礎》,中國建築工業出版社,北京,1981。
