正文
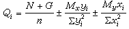
單樁承載力樁基在豎向荷載作用下,第
根樁承受的軸向力
(噸)(圖1)為
式中
為作用在樁基上的豎向荷載;
為樁承台自重和樁承台上復土重;
為樁數;
、
為作用在樁承台底面對樁基每一根主軸的力矩;
、
為自樁基主軸至第
根樁的距離。
樁基設計樁基中每一根樁承受的平均軸向壓力,要小於單樁軸向受壓容許承載力;如樁受到軸向拉力,它所承受的平均軸向拉力要小於單樁軸向受拉容許承載力。
當樁基受到水平荷載作用時,樁所承受的水平力要小於單樁水平容許承載力。對於高樁碼頭等構築物的樁基,在水平荷載作用下,其最大彎矩應小於樁身的抵抗彎矩;其水平位移應小於結構的容許水平位移。
確定單樁容許承載力,要結合工程的重要性、使用要求、荷載性質、樁製作質量的可靠性以及樁的布置等條件,並考慮適當的安全儲備。
如果樁周土體因自重固結、濕陷或地面堆載等產生的壓縮大於樁的下沉時,則還要考慮樁側負摩擦力的影響(見樁的軸向承載力、樁的橫向受力計算)。
群樁承載力群樁極限承載力
並不一定等於各單樁極限承載力
之和。兩者的比值稱為群樁係數
。
與工程地質條件、樁型、樁的數量和平面布置以及樁距等有關。在砂土中,
常大於1.0;在粘性土中,
有可能小於1.0。當
<1.0時,說明群樁承載力小於單樁承載力之和;如課設計中
仍取1.0,樁基雖不致破壞,而沉降量卻會增加。在軟粘土地基中,只要樁距較大,
也可取1.0;但如果樁距小,樁數量多,樁較短,並且樁尖處是軟土層時,則要把樁基作為假想實體基礎(由樁承台,樁和樁間土組成)計算群樁極限承載力
(圖2)。
樁基設計式中
為樁尖處土層的極限承載力;
為假想實體基礎的底面積;
為假想實體基礎的周長;
為樁身在第
層土的長度;
為第
層土的極限摩阻力。
如果
考慮了適當的安全儲備後,仍大於結構荷載與實體基礎重量之和,則樁基就不會破壞。
樁基沉降包括平均沉降和差異沉降。
計算樁基沉降時,假定它是砌置在樁尖平面處的實體基礎,是一種半經驗性質的近似方法(圖3a), K.泰爾扎吉和R.B.佩克建議摩擦樁基用砌置在距樁尖向上三分之一樁長平面處的實體基礎代替(圖3b);以及仍假定實體基礎砌置在樁尖平面處,但荷載從承台底面和樁群外圍,以一個角度向樁尖平面處擴散。增大承載面積(圖3c)。它們都屬於同一範疇的近似方法。
樁基設計樁基計算沉降量與實際情況有較大的差距。要縮小這種差距,關鍵在於選擇與實際應力水平相適應而有代表性的沉降計算參數,並重視結合區域性經驗。
與天然地基相比,樁基的平均沉降速度(毫米/日)小,收斂快,平均沉降量和不平均沉降值都較小,所以建築物對樁基沉降的適應能力要比對天然地基沉降的適應能力好得多。因此,樁基上的建築物採用天然地基上同類建築物的容許沉降值是安全的。
承台設計對於支承柱子的鋼筋混凝土低樁承台,在柱子所傳荷載、它的自重(包括復土重量)及樁的反力作用下,根據初步確定的外形尺寸和製作材料的強度,按照鋼筋混凝土結構設計原理進行驗算;承台在荷載作用下產生的內力要小於製作材料的強度。內力包括:柱子對承台面的局部壓力、 樁對承台的沖切力、 柱子對承台的沖切力、剪下力和彎矩等。承台底面的形狀和尺寸應根據樁群的平面布置情況確定。多為正方形、矩形、多邊形、橢圓形或圓形;承台邊到邊樁中心的距離,相當於樁直徑或邊長。承台的厚度往往取決於沖切力和剪下力的大小。承台的鋼筋數量則根據彎矩計算求得。承台與樁的連結是將樁頂伸進承台5~10厘米,並將樁內的鋼筋插入一定的長度。
對於碼頭、橋樑等構築物的高樁承台的計算方法和構造,基本上與低樁承台相似。
承台-樁-土共同作用樁基沉降量實際上包括了樁尖以下的土的壓縮量、樁尖刺入量和樁身壓縮量等分量,並不像計算所假定的作為一個整體下沉,只有樁尖以下土層受壓縮。樁將荷載傳遞給地基的過程中,由於樁尖處的力的作用,土層塑性變形,樁尖可能刺入土層;又由於樁側摩阻力的作用,樁間土會產生壓縮。在打樁過程中土層受破壞後,樁間土重新固結,也要產生壓縮。當樁尖刺入量等於或大於樁間土和樁身壓縮量之差時,低樁承台底面與樁間土就不會脫開,樁間土就可以分擔一部分從承台底傳來的荷載。對於樁距較大的短摩擦樁樁基,有時可考慮樁間土的承載作用。但為了安全起見,應將樁基作為實體基礎驗算它的承載力。對於樁距較小,樁尖處有堅硬土層的長樁樁基,承台底面與樁間土往往會分開,因此,不宜考慮樁間土的承載作用。
在樁基設計過程中,往往要對初步確定的樁平面布置、樁距、承台尺寸及混凝土標號等作反覆修改,以滿足各種條件並達到經濟合理。
參考書目
中國建築學會地基基礎學術委員會:《1981年樁基工程學術會議論文選集》,中國建築工業出版社,北京,1982。

