典型結構
槽輪機構結構圖
槽輪機構槽輪機構的典型結構如圖所示,它由主動撥盤1、從動槽輪2和機架組成。撥盤1以等角速度 作連續迴轉,當撥盤上的圓銷A未進入槽輪的徑向槽時,由於槽輪的內凹鎖止弧被撥盤1的外凹鎖止弧卡住,故槽輪不動。圖示為圓銷A剛進入槽輪徑向槽時的位置,此時鎖止弧也剛被鬆開。此後,槽輪受圓銷A的驅使而轉動。而圓銷A在另一邊離開徑向槽時,鎖止弧又被卡住,槽輪又靜止不動。直至圓銷A再次進入槽輪的另一個徑向槽時,又重複上述運動。所以,槽輪作時動時停的間歇運動。
槽輪機構的結構簡單,外形尺寸小,機械效率高,並能較平穩地、間歇地進行轉位。但因為傳動時尚存在柔性衝擊,故常用於速度不太高的場合 。
類型及套用
槽輪機構有外槽輪機構(external Geneva mechanism)和內槽輪機構(internal Geneva mechanism)之分。它們均用於平行軸間的間歇傳動,但前者槽輪與撥盤轉向相反,而後者則轉向相同 。外槽輪機構套用比較廣泛。
下圖所示為外槽輪機構在電影放映機中的套用情況
電影放映機撥片機構下圖所示則為在單軸六角自動車床轉塔刀架的轉位機構中的套用情況
轉塔刀架通常,槽輪上的各槽是均勻分布的,並且是用於傳遞平行軸之間的運動,這樣的槽輪機構稱為普通槽輪機構。在某些機械中也還用到一些特殊形式的槽輪機構。如下圖所示的不等臂長的多銷槽輪機構,其徑向槽的徑向尺寸不同,撥盤上圓銷的分布也不均勻。這樣,在槽輪轉一周中,可以實現幾個運動時間和停歇時間均不相同的運動要求 。
不等臂長槽輪機構當需要在兩相交軸之間進行間歇傳動時,可採用球面槽輪機構(spherical Geneva mechanism)。下圖所示為兩相交軸間夾角為90°的球面槽輪機構。其從動槽輪2呈半球形,主動撥輪1的軸線及撥銷3的軸線均通過球心。該機構的工作過程與平面槽輪機構相似。主動撥輪上的撥銷通常只有一個,槽輪的動、停時間相等。如果在主動撥輪上對稱地安裝兩個撥銷,則當一側的撥銷由槽輪的槽中脫出時,另一撥銷進入槽輪的另一相鄰的槽,故槽輪連續轉動。
球面槽輪機構運動係數
普通槽輪機構的運動係數
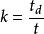
槽輪機構
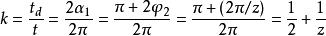
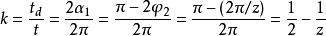
槽輪機構在外槽輪機構結構圖中,當主動撥盤1迴轉一周時,槽輪2的運動時間 與主動撥盤轉一周的總時間 之比,稱為槽輪機構的運動係數,並以k表示,即
槽輪機構
槽輪機構
槽輪機構
槽輪機構
槽輪機構
槽輪機構
槽輪機構
槽輪機構
槽輪機構因為撥盤1一般為等速迴轉,所以時間之比可以用撥盤轉角之比來表示。對於單圓銷外槽輪機構,時間 與 所對應的撥盤轉角分別為 與 。又為了避免圓銷A和徑向槽發生剛性衝擊,圓銷剛開始進入或脫出徑向槽的瞬時,其線速度方向應沿著徑向槽的中心線 。由圖可知, 。其中 為槽輪槽間角。設槽輪有z個均布槽,則 ,將上述關係代入公式 得外槽輪機構的運動係數為
槽輪機構因為運動係數k應大於零,所以外槽輪的槽數z應大於或等於3。又由上式可知,其運動係數k總小於0.5,故這種單銷外槽輪機構槽輪的運動時間總小於其靜止時間。
如果在撥盤1上均勻的分布n個圓銷,則當撥盤轉動一周時,槽輪將被撥動n次,故運動係數是單銷的n倍,即
槽輪機構又因k值應小於或等於1,即
槽輪機構由此得
槽輪機構由上式可得槽數與圓銷數的關係如下表所示
| 槽數z | 3 | 4 | 5、6 | ≥7 |
| 圓銷數 | 1~6 | 1~4 | 1~3 | 1~2 |
對於單銷內槽輪機構,其運動係數為
槽輪機構顯然k>0.5。
運動特性
槽輪機構運動特性
槽輪機構
槽輪機構
槽輪機構
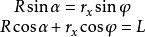
槽輪機構右圖所示為外槽輪機構的任一位置。設撥盤和槽輪的位置分別用 和 來表示,並規定和在圓銷進入區為負,在圓銷離開區為正。
槽輪機構設圓銷至槽輪迴轉軸心的距離為,在圖示位置時,有
槽輪機構
槽輪機構
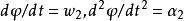
槽輪機構從上兩式中消去,並令,可得
槽輪機構
槽輪機構將上式對時間t求導,並令,則得
槽輪機構由上兩式可知,當撥盤的角速度一定時,槽輪的角速度及角加速度的變化取決於槽輪的槽數z 。下圖給出了槽數z=3,4,6時的外槽輪機構的角速度和角加速度變化曲線。由圖中可以看出,槽輪運動的角速度和角加速度的最大值隨槽數z的減少而增大。此外,當圓銷開始進入和退出徑向槽時,由於角加速度有突變,故在此兩瞬時有柔性衝擊。而且槽輪的槽數z愈少,柔性衝擊愈大。
外槽輪機構運動曲線
槽輪機構四槽內槽輪機構的角速度和角加速度的變化曲線如下圖所示。由圖可見,當圓銷開始進入和退出徑向槽時,和外槽輪機構一樣,也有角加速度突變,但當時,角加速度數值迅速下降並趨於零。可見,內槽輪機構的動力性能比外槽輪機構好很多。
內槽輪機構運動曲線幾何尺寸計算
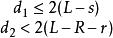
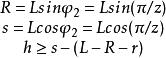
在機械中最常用的是徑向槽分布均勻的外槽輪機構。對於這種機構,在設計計算時,首先要根據工作要求確定槽輪的槽數z和主動撥盤的圓銷數n;再按受力情況和實際機械所允許的安裝空間和尺寸,確定中心距L和圓銷半徑r;最後可按照幾何關係求出其他尺寸:
槽輪機構
槽輪機構
槽輪機構撥盤軸的直徑及槽輪軸的直徑受以下條件限制:
槽輪機構鎖止弧的半徑大小根據槽輪輪葉齒頂厚度b來確定 ,通常取b=3~10mm。

