基本概念
隨著電力需要量的迅速增長和由此而引起的能源不足,目前,核能已經發展成為一種重要的新能源。可以作為反應堆核燃料的裂變同位素有鈾-235,鈽-239和鈾-233三種。其中只有鈾-235是在自然界中天然存在的。然而遺憾的是,在天然鈾中只含大約0.72%左右的鈾-235,而占99.2%以上的是鈾-238。因而,單純以鈾-235作為燃料的核動力,很快就會使天然鈾的資源枯竭,它並不能顯著地擴大現有的能源。同時,再考慮到鈾礦開採經濟價值的限制,它很快就可能無法滿足核動力發展的需要。幸而,我們可以把天然鈾中99%以上的鈾-238以及釷-232通過反應轉換成人工裂變同位素鈽-239和鈾-233。假如我們能夠通過轉換把鈾-238和釷-232充分地利用起來,那么,核能的能源將擴大幾十倍至近百倍,從而可以在較長的時間內滿足人類對他能源的需要。
轉換過程
在反應堆中,主要的核燃料轉換過程有兩類:一是把鈾-238轉換成鈽-239;二是在反應堆中裝入可轉換同位素釷-232,經過中子輻照後轉換為鈾-233。
鈾-鈽循環
把鈾-238轉換成鈽-239,其反應過程如下:
核燃料轉換通常我們把可用以生產裂變同位素的核素,如上式中的鈾-238,稱為可轉換同位素,而把這種通過可轉換物質產生裂變同位素的過程叫做轉換。為完成上述的反應,必須將鈾-238放入反應堆中經受中子的輻照。在現代動力反應堆中,一般是採用低濃鈾為核燃料,在燃料中存在著大量的鈾-238,因而在反應堆的正常運行中必然會發生軸-238轉換為鈽-239的過程。例如在一個輕水反應堆中,新裝的燃料一般是鈾-238占97%左右的低濃縮鈾,經過一年左右的中子輻照後,卸下的料中大約含0.8%左右的鈽-239。如果把產生的鈽-239從卸下的燃料中提取出來,加工成新燃料再裝入堆芯或新的反應堆中加以利用,這樣的燃料循環過程便稱為鈾-鈽循環。
釷-鈾循環
另一類轉換過程是在反應堆中裝入可轉換同位素釷-232,經過中子輻照後轉換為鈾-233,其轉換過程是:
核燃料轉換如果把新產生的鈾-233提取出來再用於反應堆中作為燃料,這種循環便稱為釷-鈾循環。釷在自然界中的藏量相當豐富。目前,關於釷-鈾循壞的利用問題,已在一些國家中引起了重視。
衡量依據
通常用轉換比CR來描述轉換過程。它的定義是:反應堆中每消耗一個裂變材料原子所產生新的裂變材料的原子數。即:
CR=堆內可轉化物質的吸收率/堆內所有裂變物質的吸收率=裂變物質的生成率/變物質的消耗率
這樣,假設有N個裂變同位素原子核消耗掉,則會產生N(CR)個新的裂變核。如果新產生的裂變同位素與原來的裂變同位素相同,這些新的裂變核又將參與轉換而生成N(CR)*(CR)=N(CR)^2個新的裂變核。如此繼續下去,可以得出在CR<1的情況下,最後被利用裂變同位素的總數量為:
核燃料轉換例如,對於輕水反應堆CR≈0.6,於是,最終被利用的裂變核約為原來的2.5倍。若CR=1,則每消托一個裂變元素的原子,使可以產生一個新的裂變核。在這種情況下,可轉換物質可以在反應堆內不斷地轉換而無須給系統添加新的裂變物質。然而,最吸引人的是CR>1的情況。這時,反應堆內產生的裂變元素比消耗的多,除了維持反應堆本身的需要外,還可以增殖出一些裂變材料供給其他新反應堆使用,這種反應堆稱為增殖堆。把這時的轉換比(CR>1)稱為增殖比,並以BR表示加以區別。通常把CR<1的生產堆稱為轉換堆。增殖堆的出現為實現軸和釷的資源的充分利用開闢了現實的途徑。
物理特性
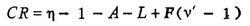
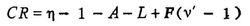
現在讓我們進一步考察一下轉換(或增殖)過程的物理特徵。裂變核每吸收一個中子所產生的有效裂變中子數為m。顯然,除了為維持鏈式反應所必須的一個中子以及為其它材料(不包括可轉換材料)所吸收和泄漏損失以外,剩餘的中子便被可轉換材料吸收而用於轉換過程。因此,根據中子平衡和CR的定義有
核燃料轉換其中
核燃料轉換這裡A,L和F分別是相對於裂變核每吸收一個中子時其它材料吸收的中子數、泄漏的中子數和可轉換材料的裂變數。v'為可轉換同位素的每次裂變放出的平均中子數.
從式子中可以看出,轉換比或增殖比與η、A、L和F等有關。其中最重要的數值是η。顯然,若η>1,反應堆就有可能發生轉換。而要實現增殖過程,則必須要求η大於2,這是因為還要考慮有吸收損失A和泄漏損失L的緣故。由於能量在1-10^5電子伏的範圍內鈾-235的n值和能量在10-2×10^4電子伏的範圍內鈽-239的η值都小於2,因而對於鈾-235或鈽-239作燃料的熱中子或中能中子反應堆是不可能實現增殖的。但是,當中子能量繼增高時,η值顯著地增大並且大於2。特別是對於鈽-239更是如此。只要反應堆內的裂變是由E>100千電子伏以上的快中子引起的,用鈽-239作燃料的反應堆就可以實現增殖,而對於鈾-235,則中子的能量還必須要高得多。這種反應堆通常稱為快中子增殖堆。
對於鈾-233,情況則有些不同。在快中子區域,它和鈽-239及鈾-235一樣可以實現增殖。對於熱中子,例如E≈0.025電子伏,它的η≈2.29,因而有可能設計出一個以鈾-233為燃料的熱中子增殖堆。
燃料和可轉換材料以外的其它物質(冷卻劑、結構材料和裂變產物等)的吸收(A)將使轉換比(或增殖比)降低。由於在熱能區域內這些材料的中子的吸收截面(尤其是裂變產物氙)比較大,因而它們對熱中子反應堆的影響最為嚴重,並使轉換比顯著地降低。泄漏損失同樣使轉換比(或增殖比)降低。對於熱中子反堆來說,這個數值並不太大。但是對於快中子反應堆,由於芯部體積較小,L的數值也就可觀,因此為了減少中子的泄漏損失,通常在快中子反應堆的芯部外面上一層由可轉換材料構成的“再生區”,用來吸收泄漏出堆芯的中子,以提高增殖比。鈾-238和釷-232的快裂變分額F對於熱中子反應堆來說是很小的(0.02-0.06),而對於快中子堆則可以達到0.15-0.20。

