定義
所謂接受度是指加速器能接受粒子的程度,它是用相空間大小來度量的。只要粒子的坐標(y,y')處在接受度內,則該粒子被加速器所接受,或者說被容納,否則粒子將被丟失。
影響因素
根據相橢圓方程
束流接受度式中α、β、γ是Twiss參數。
在(y,y’)平面內作出相圖,如圖1所示。從方程可知,若常數A已知,則橢圓面積被確定。
圖1 相橢圓示意圖從圖1得到相橢圓面積S為:
束流接受度得到:
束流接受度或
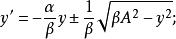
束流接受度帶入得:
束流接受度假定真空室尺寸為R(半寬度),顯然要求y≤R,否則帶電粒子會因碰壁而丟失。於是
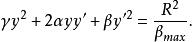
束流接受度由
束流接受度得到
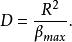
束流接受度這時,相橢圓方程可化為
束流接受度則
束流接受度這個歸一化相橢圓面積被定義為加速器的接受度。
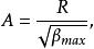
這時
束流接受度為其軌道方程的邊界值。粒子的運動在徑向方向的最大位移為R。
相橢圓上各點參數如圖2所示。
圖2 相橢圓上各點參數接受相圖
對於給定的加速結構,由於結構對束流的幾何限制,在入口處存在一個相空間區域,只有分布在該區域內的束流才能通過該加速結構。這一區域被稱為接受相圖。
