分類
根據外力作用方式不同,材料會受到抗拉強度、抗壓強度、抗剪強度、抗彎強度等。受力如下圖所示:
四種強度的受力情況材料強度是通過靜力試驗來測定的,通過標準試件的標準試驗方法測得的。
1.材料的抗壓、抗拉、抗剪強度
材料強度材料的抗壓、抗拉、抗剪強度的計算式為:f=
式中:f——材料強度,MPa;
F——材料破壞時的最大荷載,N;
A——試件的受力面積,mm 。
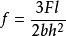
2.材料的抗彎( 折)強度
材料的抗彎強度與試件受力情況、截面形狀及支撐條件有關。一般試驗方法是將矩形截面的條形試件放在兩支點上,中間作用一集中荷載,則抗彎強度計算式為:
材料強度式中:f——材料的抗彎(折)強度,MPa;
F——材料破壞時的最大荷載,N;
L——試件兩支點間的距離,mm;
b——試件截面的寬度,mm ;
h——試件截面的高度,mm。
研究對象
材料強度研究的是結構內部力的分布,包括組織結構、結構在載荷下如何變形和如何失效等。弄清這些力的作用及其分布可以讓工程師們經濟、安全地設計和測量載荷梁、軸和柱體結構等。主要涉及材料應力、應變、彈性模量、拉伸試驗、慣性矩以及金屬的疲勞。
強度等級
強度等級是材料按強度分級,建築材料常按其強度值的大小劃分為若干等級或牌號。脆性材料按抗壓強度劃分,鋼材按屈服強度劃分。如燒結普通磚按抗壓強度分為MU10等5個強度等級;矽酸鹽水泥按抗胝和抗折強度分為42.5等6個強度等級;普通混凝土按抗壓強度分為C15等14個強度等級;碳素結構鋼按屈服強度分為Q235等4個牌號。
建築材料按強度劃分等級或牌號,對生產者和使用者均有重要的意義,它可使生產者在生產中控制產品質量時有據可依,從而確保產品的質量。對使用者而言,則有利於掌握材料的性能指標,便於合理選用材料、正確進行設計和控制工程施工質量。
強度和強度等級的區別與聯繫:強度指的是材料的極限值,是唯一的實測值;強度等級是人為規定的強度範圍;強度等級的確定必須以其極限強度值為依據,每一強度等級則包含一定範圍內的強度值。
標準值
由試驗得知,同一材料的不同試樣測得的失效應力並非一個定值,而是在某一個範圍內變化。其數值具有隨機性。隨機變數的統計參數有平均值、標準差(或變異係數)、最大值、最小值、極差等。建築結構設計規範取具有95%保證率的失效應力作為材料強度標準值,用f表示,它等於材料強度平均值減去1.645倍標準差。95%保證率的意思就是任意抽樣檢驗一批材料.實測強度不低於f的機率為95%,用戶承擔的風險只有5%(即材料強度達不到f的機率為5%)。
設計值
將材料強度標準值f除以材料分項係數γ作為材料強度設計值f。建築結構設計中,材料分項係數γ對於混凝土取1.4,HRB400級及以下的普通鋼筋取1.1、HRB500級鋼筋取1.15,砌體取1.6,碳素結構鋼取1.087,高強度低合金結構鋼取1.111。在橋樑結構設計中,因其設計的可靠度高於建築結構,所以,其材料分項係數的取值要大一些,混凝土取1.45,普通鋼筋取1.2。各種材料的強度設計值,可網上查閱。

