有機光化學

有機光化學

有機光化學,普通有機化學反應(加熱供給活化能)所不能進行的特殊類型變化,有時可借光化學方法來實現。光活化的反應物分子常為雙自由基。現列舉若干反應類型。

有機光化學

正文

普通有機化學反應(加熱供給活化能)所不能進行的特殊類型變化,有時可借光化學方法來實現。光活化的反應物分子常為雙自由基。現列舉若干反應類型。
① 原子位移反應:

有機光化學(1)

式中Φ為H、烯丙基或芳基;R、R′為不同的烷基。
② 重排反應:

有機光化學 (2)

1,2-二苯乙烯的ππ*激發態允許端基自由旋轉,結果產生了順-反異構化。
③ 分解反應:

有機光化學(3)

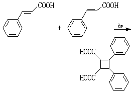
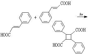
④加成反應:

有機光化學(4)

有機光化學 (5)

固態的反式肉桂酸在晶格內有穩定取向,若相鄰分子對有頭-尾相應的構型,則光加成時產生α-吐昔酸〔反應(4)〕;若有頭-頭相應的分子構型,則光加成時將產生β-吐昔酸〔反應(5)〕。
此外,還可在光引發下發生取代反應鏈反應。上述六種類型均屬直接光化學反應。有時也引入光敏劑以促進光反應的進行,稱光敏反應。
1965年R.B.伍德沃德R.霍夫曼發表分子軌道對稱守恆原理:“只有分子軌道在反應物由過渡狀態到產物永遠保持對稱性時,才有利於反應的發生”。按這個原理,鏈狀共軛多烯類化合物進行電子環化反應時有下列關係:

有機光化學有機光化學
以丁二烯類化合物為例,電子環化反應按同向旋轉將合成a型,按異向旋轉將合成b型〔反應(6)〕:

有機光化學 (6)

開環反應也按上述原理。對雙分子的環加成反應,如含m個和 n個π電子的兩個多烯類分子結合成[m+n]型環狀化合物的反應:

有機光化學 (7)

按分子軌道對稱守恆原理推得如下關係:表中s表示環加成反應中化學鍵的成鍵和斷鍵都是在同面完成的;a表示另一種可能的過程,即成鍵和斷鍵在反應系統之異面。分子軌道對稱守恆原理在解釋 σ鍵重排反應上也相當成功。

有機光化學有機光化學
羰基化合物n,π*態的σ鍵斷裂是一類常見的有機光化學反應。例如這種斷裂一般在激發態羰基相鄰的α 碳上發生,稱諾里什Ⅰ型反應;另一種是經由光激發使γ碳上的氫轉位後所造成的斷裂,稱諾里什Ⅱ型反應。羰基化合物在光照下可與烯類化合物生成環氧丙烷,這是羰基3nπ*激發態所引起的佩特諾-比希反應。

配圖

相關連線

相關詞條

相關搜尋

熱門詞條

聯絡我們