基本信息
藥品名稱
通用名稱:曲尼司特滴眼液商品名稱:曲貝
英文名稱:TranilastEyeDrops
漢語拼音:QunisiteDiyanye
成份
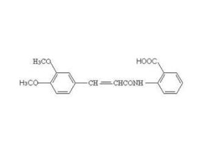
本品主要成份為曲尼司特。化學名稱:N-(3,4-二甲氧基肉桂醯)鄰氨基苯甲酸
化學結構式:
曲尼司特化學結構式分子式:C18H17NO5
分子量:374.34
作用機制
抗過敏反應—抑制肥大細胞脫顆粒
抑制肥大細胞和嗜鹼細胞釋放化學介質。TNL能抑制肥大細胞和嗜鹼細胞的磷酸二脂酶,使細胞內環磷酸腺苷的水平升高,進入細胞的游離鈣減少,穩定細胞膜,防止其細胞脫顆粒和釋放組胺等化學介質。
抗過敏反應作用機制臨床實驗
臨床試驗單位:南京市第一醫院、浙江大學醫學院附屬第一醫院、溫州醫學院附屬眼視光醫院、蘇州大學附屬第一醫院、南通大學附屬醫院病例數:120例
研究對象:過敏性結膜炎患者,年齡18-65歲。
給藥方案:滴眼,每次2滴,每日4次,療程28天。
臨床實驗對照1
臨床實驗對照2臨床證明:曲貝®滴眼液對過敏性結膜炎具有顯著療效,總有效率為91.15%,並可以明顯改善過敏性結膜炎的各種臨床症狀,安全性高,患者眼部耐受性良好。
藥物說明
性狀
本品為淡黃色或淡黃綠色澄明液體。適應症
用於治療輕、中度過敏性結膜炎。藥理毒理
曲尼司特具有穩定肥大細胞和嗜鹼粒細胞細胞膜的作用,阻止其脫顆粒,從而抑制組胺、5-羥色胺等過敏性反應物質的釋放而起到抗過敏的作用。本品用於過敏性結膜炎模型動物後,可以劑量依賴性地抑制大鼠和豚鼠血管滲透性的增加,減輕炎性細胞對結膜組織的浸潤,從而抑制過敏性結膜炎的發生。
藥代動力學
文獻報導,六名健康男性受試者單次點眼,每眼2滴,血藥濃度約1小時後達峰(平均17.8ng/ml);重複給藥後,每日四次,連續8日,最高血藥濃度為25ng/ml。單次給藥後,血藥濃度半衰期為3.6h;重複給藥後,血藥濃度半衰期為3.9h。不良反應
少數患者出現眼刺痛、燒灼感、角膜上皮螢光素染色、頭昏、胃部不適。禁忌
對本品有過敏史者禁用。注意事項
1.對本品過敏者禁用。2.用藥前應洗淨雙手。
3.給藥時滴眼劑瓶口不可接觸眼睛。
4.使用後應及時將瓶蓋擰緊,以免藥液流出或被污染。
5.對於嚴重的過敏性結膜炎患者,單用本品達不到足夠療效時,應合併使用其他抗過敏藥或改用其他治療方法。

