數學名詞
基本定義
按照經典的定義,從(a,b)到R3中的連續映射就是一條曲線,這相當於是說:
(1)R3中的曲線是一個一維空間的連續像,因此是一維的。
(2)R3中的曲線可以通過直線做各種扭曲得到。
(3)說參數的某個值,就是說曲線上的一個點,但是反過來不一定,因為我們可以考慮自交的曲線。
微分幾何就是利用微積分來研究幾何的學科。為了能夠套用微積分的知識,我們不能考慮一切曲線,甚至不能考慮連續曲線,因為連續不一定可微。這就要我們考慮可微曲線。但是可微曲線也是不太好的,因為可能存在某些曲線,在某點切線的方向不是確定的,這就使得我們無法從切線開始入手,這就需要我們來研究導數處處不為零的這一類曲線,我們稱它們為正則曲線。 正則曲線才是經典曲線論的主要研究對象。
曲線:任何一根連續的線條都稱為曲線。包括直線、折線、線段、圓弧等。曲線是1-2維的圖形,參考《分數維空間》。 處處轉折的曲線一般具有無窮大的長度和零的面積,這時,曲線本身就是一個大於1小於2維的空間。微分幾何學研究的主要對象之一。直觀上,曲線可看成空間質點運動的軌跡。曲線的更嚴格的定義是區間α,b)到E3中的映射r:α,b)E3。有時也把這映射的像稱為曲線。
具體地說,設Oxyz是歐氏空間E3中的笛卡兒直角坐標系,r為曲線C上點的向徑,於是有。上式稱為曲線C的參數方程,t稱為曲線C的參數,並且按照參數增加的方向自然地確定了曲線C的正向(圖1)。曲線論中常討論正則曲線,即其三個坐標函式x(t),y(t),z(t)的導數均連續且對任意t不同時為零的曲線。對於正則曲線,總可取其弧長s作為參數,它稱為自然參數或弧長參數。弧長參數s用 來定義,它表示曲線C從r(α)到r(t)之間的長度,以下還假定曲線C的坐標函式都具有三階連續導數,即曲線是C3階的。
基本公式
曲線 設正則曲線C的參數方程為r=r(s),s是弧長參數,p(s)是曲線C上參數為s即向徑為r(s)的一個定點。Q(s+Δs)為C上鄰近p的點,Q沿曲線C趨近於p時,割線pQ的極限 位置稱為曲線C在p點的切線。過p點與切線垂直的平面稱為曲線C在p點的法平面。曲線C在p點的切線及C上鄰近點R確定一個平面σ,σ的極限位置稱為曲線C在p點的密切平面,它在p點的法線稱為曲線C在p點的次法線,曲線C在p點的切線和次法線決定的平面稱為曲線C在p點的從切平面。p點的法線稱為曲線C在p點的主法線(圖2)。
曲線
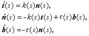
以"·"表示關於弧長參數s的導數,並且設
曲線 那和b(s)=t(s)×n(s)分別是曲線C在p(s)點的切線、主法線和次法線上的單位向量,並且t(s)指向曲線C的正向。n(s)指向曲線凹入的一方。t(s)、n(s)和b(s)按此順序構成右手系,且分別稱為曲線C在p(s)點的切向量、主法向量和次法向量。{r(s),t(s),n(s),b(s)}稱為曲線C在p(s)點的弗雷內標架。 曲線
C的每一點都有弗雷內標架。為研究曲線上兩個鄰近點上弗雷內標架之間的變換關係,要討論t(s)、n(s)和b(s)關於s的導向量,它們可由標架向量線性表出,這就是下述曲線論的基本公式(弗雷內公式):
曲線 式中k(s)和τ(s)分別被稱為曲線C在p(s)點的曲率和撓率。 曲率
曲率
這是切向量t(s)和t(s+Δs)之間的夾角。故曲率度量了曲線上相鄰兩點的切向量的夾角關於弧長的變化率。直線的曲率恆為 0。圓周的曲率等於其半徑的倒數。當曲線C在p(s)點的曲率k≠0時,在p(s)點的主法線上沿n(s)的正向取點Q,使得pQ=1/k,在p點的密切平面上以Q為中心,1/k為半徑的圓稱為曲線C在p點的曲率圓或密切圓,Q和1/k分別稱為曲率中心和曲率半徑。密切圓是過曲線C上p(s)點和鄰近兩點的圓的極限位置。 撓率
撓率
曲線 ,它的絕對值
曲線 度量了曲線上鄰近兩點的次法向量之間的夾角對弧長的變化率。平面曲線是撓率恆為零的曲線。空間曲線如不是落在一平面上,則稱為撓曲線。
若p0(s0)點的曲率和撓率均不為零,取p0為原點,曲線的切線、主法線和次法線為坐標軸,在p0附近,曲線可近似地表示為:
曲線 所以曲線C在p0點鄰近的近似形狀。
基本定理
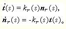
曲線 曲線的弧長s、曲率k(s)和撓率τ(s)是運動的不變數。反過來,曲線的曲率和撓率也完全決定了曲線的形態。具體地說,如果給定了兩個連續函式k(s)>0和τ(s),s∈【α,b)】,則存在以k(s)和τ(s)分別為其曲率和撓率的曲線,並且這些曲線經過空間的一個運動可以互相疊合。 平面曲線 撓率恆為零的曲線為平面曲線。設Oxy為歐氏平面E2的笛卡兒直角坐標系,則平面曲線C的參數方程為r=r(s)=(x(s),y(s)),s為弧長參數,弗雷內公式可寫成
曲線 這裡 nr是單位法向量,使t(s)到 nr(s)的有向角為。kr(s)稱為相對曲率,kr>0和kr0,稱為貝特朗曲線。這樣的曲線可與另一條曲建立一一對應關係,使在對應點的主法線重合。反之,這個性質也是曲線成為貝特朗曲線的充分條件。這樣的C中的每一條都稱為另一條的侶線。兩條貝特朗侶線在其對應點的切線作固定角。 漸縮線與漸伸線
曲線C1的切線為另一條曲線C2的法線,則C1稱為C2的漸縮線或漸屈線,C2稱為C1的漸伸線或漸開線。可以證明與齒廓曲線為漸伸線的齒輪相嚙合的齒輪的齒廓曲線也是漸伸線,通常齒輪的齒廓曲線都採用圓的漸伸線。
整體性質
以曲線的全部或確定的一段作為研究對象時,就得到曲線的整體的幾何性質。設曲線C的參數方程為r=r(s),s∈【α,b)】,s為弧長參數,若其始點和終點重合r(α)=r(b)),這時曲線是閉合的,稱為閉曲線。若它在這點的切向量重合,即r┡(α)=r┡(b)),且自身不再相交,則稱為簡單閉曲線。對於正則閉曲線C,把它的切向量t(s)的始點放在原點,t(s)的終點軌跡是單位球面上的一條閉曲線,它稱為曲線C的切線像或切線標形。C的切線像的長度為
曲線 等式右方是閉曲線C的曲率k(s)沿C的積分,自然就稱為曲線C的全曲率,表示。正則閉曲線的全曲率等於其切線像的長度。關於正則閉曲線的全曲率的界限有下述二定理。 芬切爾定理
正則閉曲線C的全曲率,且等號僅當C為平面凸閉曲線時成立。這定理給出了正則閉曲線的全曲率的下限,白正國將此定理推廣到分段光滑的閉曲線。 法里-米爾諾定理
簡單正則有結空間閉曲線的全曲。
閉曲線C的撓率τ(s)沿自身的積分
曲線 自然就稱為C的全撓率。球面上閉曲線的全撓率等於零,反之,如果非平面的曲面上任意閉曲線的全撓率都等於零,那么這曲面為球面或其一部分。
設C為平面正則閉曲線,則當點繞C一周時,曲線C的切線像t(s)將在單位圓周上繞若干圈,這個圈數ir(以逆時針向環繞時圈數為正,順時針向時為負)稱為C的旋
曲線 轉指標,可算得 :
這裡kr(s)是C的相對曲率。切線迴轉定理表明:平面簡單正則閉曲線的旋轉指標ir等於±1。
將平面上一條定長的細繩首尾相接而構成一條簡單閉曲線,它把平面分成以其為公共邊界的二個部分,它所圍成的區域的面積為最大時,其形狀是圓周。有如下更精確的結論:設曲線C是長度為L的平面正則簡單閉曲線,A是C所圍區域的面積,那么L2-4A≥0,並且等號若且唯若C是圓周時成立。上述不等式有過種種的推廣,這類問題叫做等周問題。對於平面曲線,與空間曲線論基本定理相仿,它的形態由其相對曲率kr(s)所確定,故kr(s)的極值自然是令人感興趣的。相對曲率kr(s)的逗留點,的點稱為曲線的頂點,對於凸閉曲線,即位於其上每一點的切線的一側的曲線,成立著名的四頂點定理:平面凸閉曲線至少有四個頂點,因為橢圓只有四個頂點,所以這個結論不能再改進。此外,還可以利用柯西-克羅夫頓公式來計算平面正則曲線的長度(見積分幾何學)。
曲線與方程
相關定義
曲線與方程 若曲線C上的點滿足f(x,y)=0,同時滿足f(x,y)=0的都是曲線C上的點,那么f(x,y)叫做曲線C的方程。
求曲線方程的方法
1、建立適當的直角坐標系,用有序數對(x,y)表示曲線上點的坐標。
2、寫出適合條件的點M的集合{M|P(M)}。
3、用坐標表示條件P(M),列出方程。
4、化方程為最簡形式。
5、證明這方程是曲線的方程。
注意:點既不能多也不能少。
建系方法
(1)以已知定點為原點;
(2)以已知定直線為坐標軸;
(3)以已知線段所在直線為坐標軸,以已知線段的中點為原點;
(4)以已知互相垂直的兩定直線為坐標軸;
(5)讓儘量多的點在坐標軸上。
直接法
如果動點滿足的幾何條件本身就是幾何量的等量關係,或這些幾何條件簡單明了且易於表達,那么我們只須把這些幾何條件轉化成含有變數的數值表達式,化簡成曲線方程。
定義法
當動點符合某一基本軌跡的定義(圓、橢圓、直線、雙曲線、拋物線)時我們可以根據定義,用待定係數法求出係數,求出動點的軌跡方程。
代入法
當形成曲線的動點P(x,y),隨著另一個已知曲線f(x,y)=0上的動點Q(w,z)有規律的運動時,我們可以得到w=g(x,y),z=h(x,y),再利用f(x,y)=0就可得到曲線方程。
參數法
有時可以藉助第三個變數t,求出關係式x=f(t),y=g(t)再通過一些方法(代入、加減、平方)消掉t,就得到了曲線的方程。
