基本概念
定義一
螺旋運動[數學名詞]
螺旋運動[數學名詞]
螺旋運動[數學名詞]
螺旋運動[數學名詞]所謂螺旋運動,是指一個旋轉R和一個平移T的合成運動,平移沿著旋轉的軸。這兩個過程的順序無關重要(如果平移不是沿著旋轉的軸,情況就不同了),換言之,設M為一點(如下圖),沿軸D旋轉一個給定的角度至(這旋轉記作R),再將平行於D作一確定的平移T到達新位置;如果先將M用平移T到達,再將繞軸D作旋轉R,那么依然來到同樣的位置。
螺旋運動
螺旋運動[數學名詞]
螺旋運動[數學名詞]
螺旋運動[數學名詞]
螺旋運動[數學名詞]事實上,設m為兩點在軸上的公共射影,而為之射影,則圖形顯然可由圖形利用平移得出。那么前者就和後者一樣是一個等腰三角形,它的平面垂直於D而頂角等於R的轉幅,這就證明了斷言的正確性。
螺旋運動顯然包括旋轉(當平移T為零時)和平移(當旋轉R為零時)作為特殊情況。
備註:當我們已知一個螺旋運動時,在軸上就確定了一個正向,即平移的指向。因此,我們說一個螺旋運動是正的(或右手的),或者反過來說是逆的(或左手的),就看沿著平移的正向所作的旋轉是正的還是逆的 。
定義二
螺旋運動[數學名詞]
螺旋運動[數學名詞]
螺旋運動[數學名詞]由繞軸 的旋轉和沿著 方向與旋轉角成比例的移動而合成的運動,稱為 螺旋運動(圖1)。軸 稱為 螺旋軸。
圖1
螺旋運動[數學名詞]
螺旋運動[數學名詞]
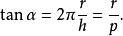
螺旋運動[數學名詞]若 是旋轉角( 螺旋角)而 是進給( 平移距離),則有: 。
螺旋運動[數學名詞]比例因子 ,稱為 螺旋參數。若順著移動方向觀察一個螺旋,當旋轉為順時針方向時,這個螺旋為 右螺旋,當旋轉為逆時針方向時,這個螺旋為 左螺旋。
可以用p的正負號來確定螺旋的方向:
螺旋運動[數學名詞]:右螺旋,
螺旋運動[數學名詞]:左螺旋。
定理1 螺旋運動由繞一條軸的旋轉和沿軸向與旋轉角成比例的移動而形成,它是由螺旋軸,螺旋參數和螺旋方向,(右螺旋或左螺旋)所確定的。
螺旋運動的基本作圖
螺旋運動[數學名詞]
螺旋運動[數學名詞]
螺旋運動[數學名詞]
螺旋運動[數學名詞]已知 點 和垂直於 的螺旋軸 的水平投影和正面投影,螺旋參數p和螺旋角 。
螺旋運動[數學名詞]
螺旋運動[數學名詞]求作 從 轉過螺旋角 至P的這段螺旋軌跡的水平投影和正面投影。
螺旋運動[數學名詞]
螺旋運動[數學名詞]
螺旋運動[數學名詞]
螺旋運動[數學名詞]
螺旋運動[數學名詞]
螺旋運動[數學名詞]
螺旋運動[數學名詞]
螺旋運動[數學名詞]
螺旋運動[數學名詞]
螺旋運動[數學名詞]在水平投影中,螺旋運動投影為繞 旋轉 角的轉動: 。 在過 的連繫線上。並比 高出進給 的距離。這段距離 可以往參數圓(圓心為 ,半徑為p)上取對應於圓心角 的弧而作出。最好用儘可能短的弦求出這段弧長。 ·
螺旋運動[數學名詞]轉過一個整圈 的平移距離 ,稱為螺旋的導程。由它可以按照
螺旋運動[數學名詞]計算出螺旋參數。p也稱為 轉換導程。
螺旋體
幾何形體通過螺旋運動形成 螺旋體。
點通過螺旋運動形成作為軌跡曲線的 螺旋線( 軌跡螺旋線);
曲線通過螺旋運動形成為運動曲面的 螺旋面;
曲面通過螺旋運動形成為包絡面的 螺旋面。
一切螺旋體都可自相旋合。由於這個緣故,它們在工程中得到套用。
螺旋線
螺旋運動[數學名詞]
螺旋運動[數學名詞]
螺旋運動[數學名詞]
螺旋運動[數學名詞]1. 以p為螺旋參數,當P點繞軸作螺旋運動時,其軌跡螺旋線b位於螺旋柱面 (以 為軸、半徑 的迴轉柱面)上。
螺旋運動[數學名詞]
螺旋運動[數學名詞]
螺旋運動[數學名詞]
螺旋運動[數學名詞]由於 ,所以在 展開後,b成為一條直線。因此,螺旋線b與 的各條素線e相交成定角 ,對此有
螺旋運動[數學名詞]
螺旋運動[數學名詞]
螺旋運動[數學名詞]於是b的切線對的每個法面 成定坡度。螺旋線b是 同坡線(對的每個法面而言)。
螺旋運動[數學名詞]
螺旋運動[數學名詞]
螺旋運動[數學名詞]
螺旋運動[數學名詞]
螺旋運動[數學名詞]2. 若將b的切線平移到上一點R處,則它們形成b的 準錐面 (頂點為R、軸線為和半張角為的迴轉錐面,圖2)。螺旋運動的兩個導圓中的“第一個導圓”,稱為螺旋線b的準圓。準圓平面在R“之下”的距離為p。
圖3
螺旋運動[數學名詞]任一螺旋切線,都垂直於通過其切點P的螺旋柱面半徑。由此得出:
螺旋運動[數學名詞]
螺旋運動[數學名詞]
螺旋運動[數學名詞]
螺旋運動[數學名詞]螺旋切線平行於通過 準點P*的準錐面素線,P*在準圓上,與交點相差角(圖3)
螺旋運動[數學名詞]定理2 每條螺旋線都是螺旋軸的各個法面的同坡線,也是常曲率空間曲線。它的密切平面和切線,都與螺旋軸構成相同的角 。
圖4![螺旋運動[數學名詞] 螺旋運動[數學名詞]](/img/0/8e8/nBnauM3X1QzN3YTO1cDMzUTN1UTM1QDN5MjM5ADMwAjMwUzL3AzL4MzLt92YucmbvRWdo5Cd0FmLwE2LvoDc0RHa.jpg)
