景觀形狀指數,景觀格局中斑塊的形狀指數。是通過計算區域內 某斑塊形狀與 相同面積的圓或正方形之間的 偏離程度來測量起形狀複雜程度的。
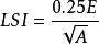
(1)以正方形為參照物:
景觀形狀指數公式為
其中,E為景觀中所有斑塊邊界的總長度,A為景觀總面積。
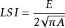
(2)以圓形為參照物:
景觀形狀指數公式為
其中,E為景觀中所有斑塊邊界的總長度,A為景觀總面積。
景觀形狀指數,景觀格局中斑塊的形狀指數。是通過計算區域內 某斑塊形狀與 相同面積的圓或正方形之間的 偏離程度來測量起形狀複雜程度的。
(1)以正方形為參照物:
景觀形狀指數公式為
其中,E為景觀中所有斑塊邊界的總長度,A為景觀總面積。
(2)以圓形為參照物:
景觀形狀指數公式為
其中,E為景觀中所有斑塊邊界的總長度,A為景觀總面積。
景觀指數(Landscape indices)是指能夠高度濃縮景觀格局信息,反應其結構的組成和空間配置某些方面特徵的簡單定量指標。
簡介 分類現狀 主要作用 景觀指數的選擇 常用景觀指數景觀格局指數是指景觀格局與景觀指數。景觀格局通常是指景觀的空間結構特徵,具體是指由自然或人為形成的,一系列大小、形狀各異,排列不同的景觀鑲嵌體在景觀空間...
指標 相較區別《景觀格局空間分析技術及其套用》,是科學出版社於2010年12月1日出版的書籍。
基本信息 內容簡介景觀多樣性是—定區域內景觀類型和景物品類的數量。通常以一個風景區內的景觀類型和景物數量表示豐富程度。景觀多樣性與地區內文明歷史的長短和自然環境分異程度有...
概念 多樣性 描述指標 分類 意義本書系統地介紹了景觀生態學的基本概念、基本原理和基本理論,全面吸收和總結了國內外相關研究的最新成果,分析了國內外黃土高原景觀生態研究的概況、黃土高原景觀...
內容提要 作者簡介 圖書目錄《森林景觀生態研究》,作者郭晉平,由北京大學出版社在2001年7月出版,全書系統地介紹了景觀生態學的基本概念、基本原理和基本理論,全面分析了國內外森林景...
基本信息 內容簡介 作者簡介 目錄指數與不同時空尺度對生態過程的影間擴散響;景觀格局和生態過程的可預測性...)是研究在一個相當大的區域內,由許多不同生態系統所組成的整體(即景觀)的空間結構、相互作用、協調功能及動態變化的一門生態學新分支。景觀在自然等級系統中...
學科介紹 學科起源 學科發展 相關研究 理論基礎,系統介紹了景觀生態學的理論體系和研究方法,如景觀的結構、功能與變化,3S技術與尺度轉換,景觀規劃與管理等,以及上述理論和方法在典型景觀類型研究...• 第三章 景觀空間結構與景觀異質性 第一節 景觀空間單元 第二節...
學科介紹 學科起源 學科發展 相關研究 理論基礎結構一、景觀發育二、斑塊(一)斑塊起源(二)斑塊大小(三)斑塊形狀(四...(三)廊道分類四、基質(一)基質的判定(二)孔隙度和邊界形狀五、景觀異質性...與景觀生態設計的關係參考文獻第八章 景觀生態學數量方法一、景觀空間格局指數...
作品介紹 目錄