明渠恆定非均勻流
正文
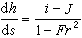
流速不隨時間變化,但其大小和方向或二者之一沿程變化的明渠水流。又稱明渠恆定變速流,是常見的水流形態。根據流速沿程變化的緩急程度又分為漸變流和急變流。流速(包括方向和大小)沿程變化緩慢的為漸變流,其流線特徵是近乎平行直線;流速沿程變化急劇的為急變流,其流線曲率或流線間夾角較大。明渠恆定漸變流 問題可以歸結為求解某一流量時水位 z或水深h與距離s的關係。表示這一關係的曲線稱為水面曲線。對於幾何特性不同的明渠,分析水面曲線的方法及所得結論的詳盡程度差別甚大。水面曲線的研究內容概括起來包括曲線形狀分析和坐標計算兩部分。對於最簡單情況即底坡、糙率、斷面形狀和尺寸均沿程不變的稜柱形渠道,水面曲線研究成果最為成熟。利用水流能量方程可以導出水深對距離的導數為:

0。又按實際底坡i與臨界底坡ic的相對大小分為緩坡i
ic、陡坡i
ic及臨界坡i=ic三種)、平坡(i=0)及負坡(i
0)上不同水深區域(以均勻流水深線N-N和臨界水深線C-C為劃分界限)內發生的水面曲線進行分析,共得12條曲線(圖1)。至於形成這些水面曲線的具體原因可有多種,例如在緩坡渠道上建閘,如閘上游水位超過N-N線便發生M1型曲線,而下游閘孔泄流後接著發生M3型曲線(圖2)。
明渠恆定非均勻流
明渠恆定非均勻流
,C為謝才係數(見謝才公式),A為過水麵積,R為水力半徑(見明渠恆定均勻流);Δs為流段長度;α為動能校正係數;ζ為流段局部水頭損失係數;g為重力加速度。 對於人工渠道,無論是否稜柱形均可用下式計算:

稱為斷面單位能量;嘊為流段平均水力坡度。 明渠恆定急變流 由局部渠段的邊界形狀(包括底坡)劇變或建築物的阻遏作用所引起,影響範圍較短。有的流動變化主要表現在沿程的鉛直縱剖面上,例如水躍、跌水等;有的則主要表現在水平面上,例如軸線彎折的渠段水流、斷面尺寸突變(擴寬或收縮)處的水流。有時還產生旋渦區,流態甚為複雜。明渠急變流研究的內容因具體情況而異,例如彎道水流研究橫向比降及斷面環流,如果是急流還涉及衝擊波現象。泄水建築物引起的急變流主要是研究泄水能力與建築物尺寸、形式的關係以及流態的演變過程等,這部分內容已獨立成為水力學中堰流、孔口出流、水流銜接與消能等專題。
參考書目
清華大學水力學教研室編:《水力學》,下冊,人民教育出版社,北京,1980。

