明安圖(?~約1764)
正文
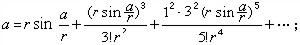
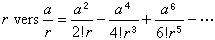
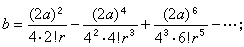
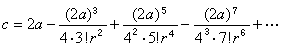
中國清代數學家、天文學家。字靜庵。蒙古族正白旗人。生年不詳,約卒於乾隆二十九年。少年時為官學生,後被選派至欽天監,專門學習天文、曆法和數學。當時康熙帝正熱衷於學習和研究科學技術,因此,他也常有機會入宮聽講。康熙五十一年(1712),康熙帝至避暑山莊,有一批著名科學家隨行,他是隨行人員中惟一列名的官學生。康熙帝曾親自就天文數學問題進行提問,並解答他所提出的問題。結業後,畢生在欽天監作,曾任欽天監時憲科五官正近四十年,主要負責推算日月五星運行,編訂時憲書(即民用曆書),以及主持時憲書滿蒙文本的翻譯等。乾隆二十四年(1759),升任欽天監監正。在天文學方面,他參加了三部重要天文學著作的編著。第一部為《曆象考成》,他擔任考測工作。該書分上下兩編,共42卷,主要成就是在實測方面,如根據實測改進了第谷體系的黃赤交角數據等。第二部為《曆象考成後編》,共10卷。其理論、算法和所用數據都比《曆象考成》有很大進步。他任該書副總裁和彙編,是該書的主要作者之一。第三部為《儀象考成》,共32卷他擔任推算工作。該書介紹了新製造的大型天文儀器璣衡撫辰儀的性能和用法。它所載錄的星表,是在實測和推算的基礎上編成的,記錄了3083顆恆星的黃道坐標和赤道坐標,達到了當時的世界先進水平。 明安圖在數學上有很深的造詣,特別是對三角函式和反三角函式的冪級數展開式問題,進行了深入研究,獲得了豐碩成果。清初,法國傳教士杜德美曾向中國學者介紹了三個無窮級數公式,但沒有給出證明。這三個公式為π的無窮級數公式,正弦和正矢的冪級數展開式: ① 圓徑求周

;
。
)。他曾自述:“以上九法,皆至精至密,任有圓線求直線,有直線求圓線,雖推至無窮,靡不合也。” 明安圖的數學成就總結在《割圓密率捷法》一書中。該書共四卷,卷一“步法”,羅列了所得到的各無窮級數公式,卷二“用法”,系各公式在數學和天文學問題上的套用,卷三、四為“法解”上、下,闡述了各公式的證明方法。這部著作在他生前只完成一部分,後由其學生陳際新、張肱、其子明新續成(1774)。他的成就和所創立的方法,對於清代冪級數研究領域產生了很大影響。明安圖在測繪地圖方面也有重要貢獻,乾隆二十一年(1756)和二十四年(1759),他兩次親往新疆測繪地圖,完成了準噶爾地區和天山南部地區的測量與繪圖任務。著名的《乾隆內府輿圖》就是在《康熙皇輿全圖》和這兩次實地測量的基礎上繪製而成的。
