釋義
在有機物分子中,當連線在某一單鍵上的幾個基團在圍繞該單鍵旋轉時,它們相對於同一分子中其它基團的空間位置就發生了變化,這樣就形成了不同的構象。
不同的構象具有不同的勢能,下圖是正丁烷的例子(圖中橫軸為轉動的角度,縱軸為勢能):
旋轉異構體可以看出,在最中間的 C-C 鍵 (正丁烷有三個 C-C 鍵)一端的兩個氫原子和一個甲基在圍繞該 C-C 鍵轉動時,形成了無數個不同的構象,每個構象都有自己的勢能。隨著轉動角度的變化,勢能起伏變化,呈現出幾個極小值。具有極小值勢能的幾個構象互為構象異構體。
當一個構象異構體轉變為另一個構象異構體時,需要越過一個能壘,也就是上圖中勢能的“峰”。當能壘很高的時候,兩個構象異構體不能輕易互相轉換,這種情況中的兩個構象異構體就互為旋轉異構體了。 能壘有多高才能使構象異構體被稱為旋轉異構體,這個並沒有嚴格的定義,只是在你的實驗條件下,如果一個構象異構體能夠在足夠長的時間內保持自己的構象,可以和其它構象異構體分離,它就可以被稱為旋轉異構體。在日常使用中,有些科學家會把構象異構體和旋轉異構體這兩個詞混用,這當然是違背這兩個詞的標準定義的。
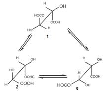
實例
旋轉異構體上圖所示是同一化合物的三種構象異構體。兩個甲基和一個苯甲基在圍繞 C-C 鍵旋轉時,會因與 -COOCH 之間的排斥力導致這三個構象具有勢能極小值。這個化合物色譜圖顯示出兩個峰。對這兩個峰做 H-NMR 分析,發現其中一個峰是第一個構象異構體,另一個峰是後兩種構象異構體的混合物。也就是說,第一個構象異構體與後兩種構象異構體之間有足夠大的能壘,使它能夠被分離出來,因此第一個構象異構體與另兩個構象異構體互為旋轉異構體。
旋轉異構體上圖所示是 R,S-酒石酸的三種構象異構體。在色譜圖中,R,S-酒石酸呈現出兩個峰。對這兩個峰進行 X 射線衍射、H-NMR 和 C-NMR 分析後,發現一個峰是構象異構體 1,另一個峰是構象異構體 2 和 3 的混合物。這表明,構象異構體 1 是可以被分離出來的,它和 2、3 互為旋轉異構體。

