卡瓦斷裂壓力的計算方法
卡瓦結構
以適用於139.7mm套管的整體式卡瓦為例。該卡瓦採用6個應力槽均布的形式,卡瓦外徑112mm,內徑84mm,長度72mm,卡瓦錐角15°,開槽寬度5mm,卡瓦材質選用抗拉強度為800MPa球墨鑄鐵。整體式卡瓦工作過程:由油管加壓,產生軸向坐封力,推動錐體錐面擠壓整體式卡瓦內錐面,使整體式卡瓦沿預製應力槽發生開裂,開裂後的卡瓦卡入套管壁一定深度,錨定在套管上。
斷裂壓力的計算
根據整體式卡瓦的工作過程可知,當油管加壓時,在軸向坐封力T的作用下,推動錐體錐面擠壓整體式卡瓦內錐面,卡瓦錐面產生環向壓力p。在環向壓力p的作用下,在卡瓦槽底的截面上會產生拉應力σ。當拉應力σ達到材料的抗拉強度極限時,卡瓦將沿著最大主應力方向發生斷裂,此時施加的軸向坐封力T即為卡瓦斷裂壓力。因此,卡瓦斷裂壓力可根據拉應力σ計算,其計算過程如下:
(1)建立卡瓦斷裂壓力T與環向壓力p之間的關係,如式(1)。
斷裂壓力式中:θ—錐體錐角;μ—摩擦係數。
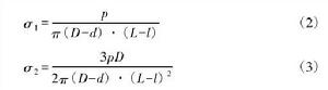
(2)建立環向壓力p與拉應力σ之間的關係。根據卡瓦結構,拉應力σ由環向壓力p產生,p的作用一方面產生環向拉應力σ1,另一方面p對卡瓦槽底產生彎矩M,彎矩M的作用產生的拉應力σ2。因此,σ=σ1+σ2,其中σ1和σ2與p之間的關係如式(2)和式(3)。
斷裂壓力式中:D—卡瓦外徑;d—卡瓦內徑;L—卡瓦高度;l—卡瓦的開槽長度。
設計整體式卡瓦斷裂壓力時,根據式(1)、式(2)和式(3)可理論計算卡瓦的斷裂壓力。然而在實際套用過程中,經常出現整體式卡瓦由於斷裂壓力過大而造成斷裂不完全,或者設計斷裂壓力過小而造成提前坐封,其原因是理論計算值往往與實際值存在偏差。因此,為保證整體式卡瓦可靠工作,必須對理論計算的斷裂壓力進行修正。
卡瓦斷裂壓力實驗分析
在理論計算的基礎上,通過實驗方法實測整體式卡瓦斷裂壓力,並與理論值比較,探討卡瓦的開槽深度對斷裂壓力的影響。
試驗方法
試驗在WAW-1000C型微機控制電液伺服萬能試驗機進行,將卡瓦對應的椎體和加工好的卡瓦組裝,置於拉壓試驗機上,啟動試壓泵,進行連續加壓,直到試件發生斷裂。為了驗證卡瓦斷裂壓力與其結構之間的關係,選取5組不同開槽深度的卡瓦進行試驗,開槽深度分別為18mm、36mm、40mm、42mm、45mm和54mm,並將試驗斷裂壓力與理論斷裂壓力比較。
卡瓦斷裂過程分析
當壓縮位移為2.1mm時,卡瓦發生斷裂,斷裂力為65.3kN。還可看出,卡瓦的斷裂過程基本上是在一次完成。斷裂後的卡瓦均勻分為6瓣,套管壁有明顯的咬合痕跡。觀察卡瓦斷面斷口看出,斷口處凹凸不平,呈現明顯的拉破壞,沒有發現明顯的塑性變形,卡瓦的斷裂是由於環向的拉應力造成,與設計的破壞形式一致。
不同開槽長度卡瓦斷裂力分析
為對比卡瓦斷裂力理論值與試驗值的差異,對6組不同開槽深度卡瓦進行斷裂試驗。在所有開槽長度下,卡瓦斷裂力理論值均大於試驗值。可見,根據理論計算確定整體式卡瓦斷裂壓力會造成卡瓦工作時斷裂壓力過大而斷裂不完全,降低整體式卡瓦工作的可靠性。為確定卡瓦斷裂壓力與開槽長度之間的關係,根據試驗測得的數據進行擬合。可以看出,卡瓦斷裂壓力與開槽長度呈曲線變化8。理論計算卡瓦斷裂壓力存在一定的誤差,實際卡瓦斷裂壓力往往小於理論計算的斷裂壓力,在實際套用中,必須進行合理修正。

