概述
爆破壓力
爆破壓力
爆破壓力
爆破壓力
爆破壓力爆破壓力(burst pressure)是對壓力容器施加壓力載荷使其發生破裂時的壓力值。可以根據材料的拉伸強度 及屈服點 數據,並根據容器的幾何尺寸來計算或估算出爆破壓力。一般工程上較多採用帶有經驗性的並有較小誤差的福貝爾式:爆破壓力 。式中K為容器外徑與內徑的比值。K值小於1.1時的薄壁圓筒形容器,也可採用中徑公式估算: ,式中 為實際壁厚,D為容器的平均直徑(中徑)。採用塑性理論也可以根據材料的扭轉試驗的剪下性能進行較精確的計算但計算較為複雜。
爆破壓力計算
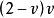
常用的公式就是著名的福貝爾(Faupel)式,爆破壓力下限式為
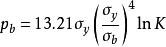
爆破壓力同理,爆破壓力上限式為
爆破壓力
爆破壓力
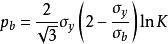
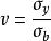
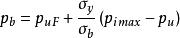
爆破壓力一般容器實際爆破力介於式 和式 兩者之間,並隨材料的屈強比 v成線性變化,於是有
爆破壓力或
爆破壓力
爆破壓力
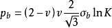
爆破壓力令 ,則式 變為
爆破壓力
爆破壓力為了研究方便,將式 分為兩個部分,即
爆破壓力
爆破壓力
爆破壓力
爆破壓力
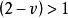
爆破壓力這樣, 顯然表示理想塑性材料的極限壓力; 則表示材料的屈強比對極限壓力的影響。因 ,故 。這就說明由非理想塑性材料製造的圓柱殼的極限壓力(爆破壓力)比由模型化的理想塑性材料製造的圓柱殼的極限壓力要大的原因。
爆破壓力近年來在使用福貝爾公式時也出現計算結果誤差問題,尤其是對中等強度鋼製高壓容器經過試驗後發現此式的誤差超過15%~20%,有時高達30%,有人用一種比式 更為簡化的但精確度比較高的最大壓力計算式:
爆破壓力據稱該式的誤差在8%左右。
氣瓶動態爆破壓力預測
焊接氣瓶是用於充裝液氨、液氯、環丙烷、液化石油氣等低壓液化氣體和溶解乙炔氣體的可重複充裝而無絕熱裝置的移動式壓力容器。其使用廣泛、數量大、流動性大、管理分散、使用環境惡 劣,充裝介質大都具有易燃、易爆、劇毒、強腐蝕等性質。所以,氣瓶在為經濟發展作出貢獻的同時,也存在著一定的安全隱患。近年來,存在著超期未檢氣瓶、超期服役氣瓶供應市場的情況,安全隱患非常突出,氣瓶爆炸事故時有發生。
事故發生後,在分析事故原因過程中,需要對事故過程進行模擬,計算爆破壓力。對於氣瓶靜態爆破壓力的模擬研究較多,1957 年,COOPER 就發表了關於預測氣瓶靜態爆破壓力的論文,並提出一個解析方程來預測由各向同性塑性材料製成的鋼瓶的靜態爆炸壓力,這個方程得到了理想的爆炸壓力、材料屬性、原始尺寸和材料極限抗拉強度的關係。隨後,相繼建立起基於彈性理論、 彈塑性理論、塑性理論,適用於薄壁、厚壁、單層、 多層,內、外壁存在腐蝕缺陷等不同條件下的氣瓶靜態爆破壓力模型。
爆破壓力
爆破壓力
爆破壓力靜態爆破常用於模擬分析氣瓶的水壓或氣壓爆破,其爆破形式與氣瓶爆炸還是有很大區別的。 由於水壓或氣壓爆破升壓速度較緩慢,氣瓶受載荷作用時間長,應變速率低,可以看作是靜態或準靜態過程。按照應變速率劃分,當應變速率低於 時稱為靜態變形;;介於 時 稱為準靜態變形;高於 時稱為動態變形。
通常,隨著應變速率的提高,材料的屈服強度和抗拉強度提高,延伸率降低,出現屈服滯後及斷裂滯後等現象。要研究氣瓶的爆炸過程,就需掌握氣瓶材料相關的動態力學行為,因為相關動力學性能數據將為運用動力學模型對爆炸過程進行模擬提供更為準確的邊界條件,提高模擬結果的精確性。
通過試驗獲得,對不同載入速率下的氣瓶爆破壓力進行了預測,並與修正後的經驗公式計算得到的結果進行對比,得到以下結論:
(1)隨著拉伸速率增加(從0.05 到 200 mm/s), 抗拉強度和屈服強度提高(從 469. 2 到517. 9 MPa,從332.2 到392 MPa)。
(2)有限元氣瓶爆破動態模擬分析結果表明,對氣瓶載入,筒體和封頭都發生變形,最終在筒體處發生破裂。隨載入速率的增加,氣瓶爆破時產生的塑性變形減小,應力增加,爆破時間減少,爆破壓力增加。
(3)隨載入速率的增加,有限元模擬分析得到的爆破壓力與使用修正後的巴洛公式估算得到的爆破壓力逐漸接近,所以動態快速載入條件下,可用該公式對爆破壓力進行預測。

