內容
斯托爾茲-切薩羅定理[斯托爾茲-切薩羅定理]
斯托爾茲-切薩羅定理[斯托爾茲-切薩羅定理]設 為兩個實數數列。若 為嚴格單調的無界正數數列,且有窮極限
斯托爾茲-切薩羅定理[斯托爾茲-切薩羅定理]存在,則
斯托爾茲-切薩羅定理[斯托爾茲-切薩羅定理]也存在且等於ℓ。
用法說明
斯托爾茲-切薩羅定理[斯托爾茲-切薩羅定理]該定理雖然主要被用來處理數列不定型極限,但該定理在沒有 這一限制條件時也是成立的。雖然該定理通常是以分母b為正數數列的情形加以敘述的,但注意到該定理對分子a的正負沒有限制,所以原則上把對數列b的限制條件替換為“嚴格單調遞減且趨於負無窮大”也是沒有問題的。
與洛必達法則的疊代用法類似,在嘗試套用斯托爾茲-切薩羅定理考察數列的極限時,如果發現兩個數列差分的商仍然是不定型,可以嘗試再使用1次該定理,考察其2階差分之商的極限。
直觀解釋
利用與折線斜率的類比,該定理具有直觀的幾何意義。
相關命題
這個用於解決數列不定型極限的定理與用於解決函式不定型極限的洛必達法則在形式上非常類似。求數列的差分對應於求函式的導函式,斯托爾茲-切薩羅定理就相當於是洛必達法則的離散化版本。但在類比記憶時應當注意,斯托爾茲-切薩羅定理要求數列要具有嚴格的單調性(或者至少當項數足夠大時,要具有嚴格單調性),而洛必達法則沒有對函式的單調性作出要求;洛必達法則要求函式在所考察點的鄰域上具有可求導性,但斯托爾茲-切薩羅定理對數列不存在類似限制(數列沒有“可差分性”一說)。並非所有的函式都可以進行求導運算,但任何數列都是可以進行差分運算的。
斯托爾茲-切薩羅定理[斯托爾茲-切薩羅定理]
斯托爾茲-切薩羅定理[斯托爾茲-切薩羅定理]
斯托爾茲-切薩羅定理[斯托爾茲-切薩羅定理]
斯托爾茲-切薩羅定理[斯托爾茲-切薩羅定理]
斯托爾茲-切薩羅定理[斯托爾茲-切薩羅定理]
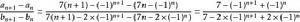
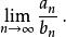
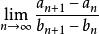
斯托爾茲-切薩羅定理[斯托爾茲-切薩羅定理]此定理的逆命題不成立。也即當滿足條件的 存在時, 未必存在。如設 ,這2個正實數數列都是嚴格單調遞增的且發散至無窮大。易知 存在,且數值為1。但是 當 時是震盪的,即此差分之商的極限值不存在。目前可找出的例子都是藉助震盪型數列構造的,而用於說明洛必達法則的逆命題不成立的例子也用到了震盪型的函式。
推廣
該定理的一個推廣形式如下:
斯托爾茲-切薩羅定理[斯托爾茲-切薩羅定理]如果 是兩個數列,而b是單調無界的,那么
斯托爾茲-切薩羅定理[斯托爾茲-切薩羅定理]