簡介
整數指數冪當指數x是0,且a不等於0時,a^0叫做零指數冪.
當指數x是負整數-n,且a不等於0時,a^-n叫做負整數指數冪.
以上各種冪統稱為整數指數冪
方法
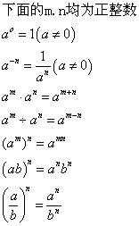
整數指數冪的運算法則(下面的m.n均為正整數)1.任何非零數的0次冪都等於1.
2.任何非零數的-n次冪,等於這個數的n次冪的倒數.
3.同底數冪相乘,底數不變指數相加.
4.同底數冪相除,底數不變,指數相減.
5.冪的乘方,底數不變,指數相乘.
6.積的乘方,各個因式分別乘方.
7.分式乘方 分之分母各自乘方.
【練習題】
(1)am·an=______(m、n是正整數).(2)(am)n=______(m、n是正整數).
(3)(ab)n=______(n為正整數).
(4)am÷an=______(a≠0,m、n是正整數,m>n).
(5)(a/b)n=_______(n是正整數).
(6)(a)0=______(a_______).

