收縮碼
自適應糾錯編碼的實質就是採用符合實際信道條件、折衷考慮傳輸可靠性和有效性的最最佳化編碼進行 自適應糾錯控制,主要通過改變糾錯碼的碼率來實現。因此,選擇一種能夠改變碼率又不增加編解碼器複雜 性的碼型具有實際的意義。
收縮碼編碼器由一個 1/N 碼率的卷積碼編碼器和一個比特選擇器級聯而成。要實現 P/( P+L)的碼 率,比特選擇器將卷積碼編碼器的輸出以 NP 個碼字分為一組,每組碼按某種規則刪除掉 NP -P -L 個碼 字,只輸出 P+L 個碼字,等效於碼率為 P/( P+L)的編碼。在解碼端,維特比解碼器前加入了一個空碼插 入電路,將編碼時刪掉的碼字重新插進碼序列中,使進入維特比解碼器的碼序列重新轉換成 1/N 的碼,然後 再經過 1/N 維特比解碼器進行解碼。因此,收縮碼不用更改編解碼器的基本結構就能夠實現不同編碼速 率,是適於自適應編碼糾錯套用的理想編碼。同時,收縮碼的糾錯性能幾乎與最佳卷積碼 的性能一樣好,在較寬的碼率範圍內具有可用性。
收縮碼編碼性能
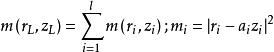
設集合 C 中一碼序列 VL =( v1 ,v2 , …,vl)。對於任一收縮碼有刪位序列 aL =( a1 ,a2 , …, al),如果 第 i 個碼元傳輸則ai =1; 否則 ai =0。收縮碼 V′ L通過 VL 和aL 兩個向量相乘而得,即: V′ L =VL ×aL,經過自適應編碼後,所傳送的信道編碼序列是 V′ L =(V′ 1 , V′ 2 , …, V′ l)。收端對應解碼器的輸入碼 序列 rL =( r1 ,r2 , …,rl)。維特比解碼算法從集合 C 搜尋一zL ,使其與接收碼序列 rL 的路徑度量值最小。 路徑度量值等於各支路度量值的總和,其表達式為
收縮碼通常, ai =0 意味著 vi沒有被傳輸,使與之對應的 z i 在路徑度量的判斷中無效。因此,收縮碼和其他同 碼率、同約束度的卷積碼比較,存在的缺陷就是誤碼路徑特別長,這需要維特比解碼器具有較長的判決深度。
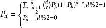
詳細分析維特比解碼器輸出的誤碼率是很困難的,下面僅給出誤比特機率的上限
收縮碼k 是子碼中信息位的個數; dfree是碼的自由距離;ad 是與編碼路徑距離為d 的路徑的個數;Pd 表示距離編 碼路徑為 d 處,解碼器選擇一個錯誤路徑的機率。
萊斯衰減信道中,假設進行理想交織使接收的碼元相互獨立。對採用硬判決維特比解碼, Pd 的值由下式確定。
收縮碼對採用軟判決維特比解碼,僅給出 Pd值的上限:
收縮碼下圖中( a) 和( b)分別是萊斯信道的 3 個狀態未進行編碼和採用 上述收縮碼編碼後誤碼性能的比較。
各狀態誤碼曲線3 種不同信道狀態中分別採用的原碼相同、碼率不同的收縮碼方案有效克服了雨 衰的影響。
