簡介
擴散率指物質濃度或溫度分布不均勻的情況下,粒子、熱量自發進行擴散使系統達到均勻穩定的能力。
擴散率按照描述的對象不同可細分為以下幾種:
熱量的擴散:熱擴散率
質量的擴散: 分子擴散率
粘度: 動量擴散率
磁場的擴散: 磁擴散率
熱擴散率
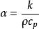
在傳熱分析中,熱擴散係數是熱導率除以密度和定壓比熱容的結果。它表示一種材料的熱量從熱端到冷端傳遞的速率。它的SI單位為m²/ s。熱擴散率通常是表示α表示,但是也可使用a、κ、K和D。熱擴散率公式為:
擴散率其中:
k為熱傳導率(W/m·K)
擴散率為密度(kg/m³)
擴散率為比熱容(J/kg·K)
擴散率
擴散率可以被描述為體積熱容(J/(m³·K))
計算熱擴散率的方法是對溫度的曲線進行對時間微分,在溫度曲線凹凸性平滑的地方對其進行量化。從某種意義上說,溫度擴散率是熱慣性的度量。在熱擴散率高的物質中,熱量傳遞非常迅速,因為相對於它的體積比熱容和“熱體積”來說,它的傳熱能力更強。
熱擴散率通常用閃光法來測量。包括在一端加熱一個帶短能量脈衝的帶或圓柱形樣品,分析短距離中的溫度變化(脈衝振幅和相位的變化)。
| 材料 | 熱擴散係數 (m²/ s) | 熱擴散係數 (mm²/ s) |
| 熱解石墨,平行於層 | 1.22×10 | 1220 |
| 銀,純(99.9%) | 1.6563×10 | 165.63 |
| 金 | 1.27×10 | 127 |
| 銅在25°C | 1.11×10 | 111 |
| 鋁 | 9.7×10 | 97 |
| Al-10Si-Mn-Mg(Silafont 36) | 74.2×10 | 74.2 |
| 鋁合金6061-T6合金 | 6.4×10 | 64 |
| Al-5Mg-2Si-Mn(Magsimal-59)在20℃ | 44.0×10 | 44.0 |
| 鋼,AISI 1010(0.1%碳) | 1.88 x 10 | 18.8 |
| 鋼,1%碳 | 1.172×10 | 11.72 |
| 鋼,不鏽鋼304A在27°C | 4.2×10 | 4.2 |
| 鋼,不鏽鋼310在25°C | 3.352×10 | 3.352 |
| 鉻鎳鐵合金600在25°C | 3.428×10 | 3.428 |
| 25℃下的鉬(99.95%) | 54.3×10 | 54.3 |
| 鐵 | 2.3×10 | 23 |
| 矽 | 8.8×10 | 88 |
| 石英 | 1.4×10 | 1.4 |
| 碳/碳複合材料在25°C | 2.165×10 | 216.5 |
| 氧化鋁(多晶) | 1.20×10 | 12.0 |
| 二氧化矽(多晶) | 8.3×10 | 0.83 |
| SiN與CNTs26℃ | 9.142×10 | 9.142 |
| SiN無碳納米管26℃ | 8.605×10 | 8.605 |
| PC(聚碳酸酯)在25℃ | 0.144×10 | 0.144 |
| PP(聚丙烯)在25℃ | 0.096×10 | 0.096 |
| 石蠟在25°C | 0.081×10 | 0.081 |
| PVC(聚氯乙烯) | 8×10 | 0.08 |
| PTFE(聚四氟乙烯)在25℃ | 0.124×10 | 0.124 |
| 25°C的水 | 0.143×10 | 0.143 |
| 醇 | 7×10 | 0.07 |
| 水蒸氣(1大氣壓,400K) | 2.338×10 | 23.38 |
| 空氣(300 K) | 1.9×10 | 19 |
| 氬(300 K,1 atm) | 2.2×10 | 22 |
| 氦氣(300 K,1 atm) | 1.9×10 | 190 |
| 氫(300K,1atm) | 1.6×10 | 160 |
| 氮(300K,1atm) | 2.2×10 | 22 |
| 熱解石墨,正常層 | 3.6×10 | 3.6 |
| 砂岩 | 1.12-1.19×10 | 1.15 |
| 錫 | 4.0×10 | 40 |
| 磚,普通 | 5.2×10 | 0.52 |
| 磚,土坯 | 2.7×10 | 0.27 |
| 玻璃,窗戶 | 3.4×10 | 0.34 |
| 橡膠 | 0.89- 1.3×10 | 0.089 - 0.13 |
| 尼龍 | 9×10 | 0.09 |
| 木(黃松) | 8.2×10 | 0.082 |
| 油,發動機(飽和液體,100℃) | 7.38×10 | 0.0738 |
分子擴散率
擴散係數或擴散係數是由於分子擴散和物質濃度梯度(或擴散驅動力)的摩爾通量之間的比例常數。在菲克定律和許多其他物理化學方程式中都用到了擴散係數。擴散率越高(一種物質與另一種物質的相互作用),就越快擴散到彼此。通常情況下,化合物的擴散係數大約為空氣或水中擴散率的一萬倍左右,空氣中二氧化碳的擴散係數為16 mm² / s,在水中擴散係數為0.0016 mm²/ s 。
擴散係數的SI 單位為 m² / s 。在 CGS 單位作 cm² / s。
1個標準大氣壓下,各物質擴散係數如下表 :
| 擴散係數(液體) | ||
| 物種對(溶質 - 溶劑) | 溫度(°C) | D(cm/ s) |
| 苯(dis) - 水(l) | 25 | 1.02×10 |
| 空氣(dis) - 水(l) | 25 | 2.00×10 |
| 硫化氫(dis) - 水(l) | 25 | 1.41×10 |
| 甲醇(dis) - 水(l) | 25 | 0.84×10 |
| 甲烷(dis) - 水(l) | 25 | 1.49×10 |
| 溴(dis) - 水(l) | 25 | 1.18×10 |
| 水(1) - 乙醇(1) | 25 | 1.24×10 |
| 水(1) - 乙酸乙酯(1) | 25 | 3.20×10 |
| 水(1) - 丙酮(1) | 25 | 4.56×10 |
| 氯(dis) - 水(l) | 25 | 1.25×10 |
| 氮(dis) - 水(l) | 25 | 1.88×10 |
| 氬(dis) - 水(l) | 25 | 2.00×10 |
| 氨(dis) - 水(l) | 25 | 1.64×10 |
| 氧(dis) - 水(l) | 25 | 2.10×10 |
| 氦(dis) - 水(l) | 25 | 6.28×10 |
| 氫(dis) - 水(l) | 25 | 4.50×10 |
| 二氧化碳(dis) - 水(l) | 25 | 1.92×10 |
| 乙醇(dis) - 水(l) | 25 | 0.84×10 |
| 乙烷(dis) - 水(l) | 25 | 1.20×10 |
| 乙烯(dis) - 水(l) | 25 | 1.87×10 |
| 丙酮(dis) - 水(l) | 25 | 1.16×10 |
| 丙烷(dis) - 水(l) | 25 | 0.97×10 |
| 一氧化碳(dis) - 水(l) | 25 | 2.03×10 |
| 一氧化氮(dis) - 水(l) | 25 | 2.60×10 |
| 擴散係數(氣體) | ||
| 物種對(溶質 - 溶劑) | 溫度(°C) | D(cm/ s) |
| 水(g) - 空氣(g) | 25 | 0.282 |
| 氧氣(g) - 空氣(g) | 25 | 0.176 |
| 擴散係數(固體) | ||
| 物種對(溶質 - 溶劑) | 溫度(°C) | D(cm/ s) |
| 氫 - 鐵 | 10 | 1.66×10 |
| 氫 - 鐵 | 100 | 124×10 |
| 鋁 - 銅 | 20 | 1.3×10 |
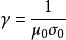
磁擴散率
磁擴散率是等離子物理中的參數 ,出現在雷諾數方程中,它的SI單位為 m²/s
擴散率磁擴散率的定義為
擴散率
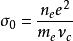
擴散率其中 為自由空間磁導率, 為有問題材料的電導率。電漿中由庫侖力或中性碰撞產生的傳導率為:
擴散率
擴散率是的電子密度。
e是電子電荷。
擴散率是電子質量。
擴散率是碰撞頻率。
