產品簡介
排煙罩示意圖排煙罩是由罩體和罩蓋上下兩部分構成,罩體由三個平面組成,罩蓋由前、後、左、右四個平面(或稱擋板)構成一個錐體。其錐體的下端與罩體相連,上端與抽油煙機相連,活動擋板開在罩體或罩蓋靠近窗戶的任意一面,前擋板帶有缺口美觀、精緻,抽油煙徹底,同時不污染環境,有利於人體健康,結構簡單,造價便宜。
排煙罩示意圖如右圖所示。
鐵制排煙罩僅為一矩形鐵制罩子,上開一孔接排煙管,罩在灶台的上方。利用熱空氣上升的原理使油煙自然抽出室外。該種排煙罩工藝簡單,成本低廉,但排煙效果較差,只適用於煙霧不大的小型飲食場所。目前沒有定型產品,而是根據灶具的大小現場製作。
種類及特點
傘形排氣罩
這種排氣罩主要用於洗碗水池、洗碗機及小型的單台烹調設備的排除污熱氣體,通常安裝在設備的上方,一般不設過濾和淨化裝置。在廚房中採用的傘形罩截面多為長方形。它的特點是結構簡單、容易製造,風量設計合理時排風效果良好,是廚房中必備的設備。
油網式排煙罩
這是廚房最常用的一種排油煙罩,罩體水平投影面為長方形的,橫截面似半邊的傘形煙罩。長度根據灶具的數量和擺放長度決定,高度為550 mm,寬度一般在1250 mm,前沿帶送風裝置的總寬為1500 mm左右。罩體內一側以60°的斜度裝有迷宮式過濾油網,有一定的油煙過濾能力,經常在一般餐廳的廚房中使用。
常用油網式排煙罩技術參數如下表所示:
| 阻力/Pa | 煙罩/mm | 送新風管道/mm | 適用灶具深度/mm | 風機功率/kW | |||||
| 長 | 深 | 高 | 長 | 深 | 高 | 播風球 | |||
| <100 | 6000 | 1250 | 550 | 6000 | 550 | 350 | <1000 | 4 | |
| <100 | 6000 | 1450 | 550 | 6000 | 550 | 350 | <1300 | 5.5 | |
運水煙罩
將配有洗滌液的水經水泵加壓後送到煙罩內噴灑成扇形,從罩體下方上來的油污氣體在與扇形水面接觸中被去污淨化,而水經氣液分離扇分離後流回水箱。這就是運水煙罩的基本工作原理。運水煙罩有排污、加水、加洗滌液、循環等整套的自動控制系統,操作使用很方便。經此煙罩淨化後的氣體除油率可達到90%左右基本不再污染管道,由於水霧的隔離作用,這種煙罩還有一定的防火功能。
常用運水煙罩的技術參數如下表所示:
| 阻力/Pa | 煙罩/mm | 送新風管道/mm | ||||||
| 長 | 深 | 高 | 長 | 深 | 高 | 水泵 | 功率/kW | |
| <120 | <4600 | 1350 | 685 | 618 | 527 | 1950 | 單 | 1.1 |
| <120 | <9200 | 1350 | 685 | 618 | 527 | 1950 | 雙 | 2.2 |
撞擊流油煙淨化排煙罩
本設備是專利產品,它採用撞擊流原理,其核心技術設備是一種主動的高速氣液接觸裝置。該設備具有傳質係數高、體積小、淨化效率高、能耗較低的特點,其油煙淨化效率可達95%以上。系統中的反應箱中無機械動力及控制裝置的氣液接觸機構,是現有的油煙淨化設備中淨化效率較高、運行成本最低、體積最小的油煙淨化裝置。撞擊流油煙淨化排煙罩技術數據如下表所示:
| 外形尺寸 | 處理風量 | 淨化效率 | 設備阻力 | 出口煙氣含水率 |
| 1200mm×650mm×500mm | 3000 排煙罩 | <95% | 120Pa | >8% |
選用此種設備時要根據排煙罩的長度計算出反應箱的數量,將所有反應箱順序排列在罩體內,連線好排風管道、進水管、排水管、控制箱等設備。
排煙罩設計
採用自然排煙的排煙罩要求能產生一定的抽力,以便能排出應排走的全部煙氣和周圍吸入的空氣。如果煙氣流是不穩定的,或者煙氣與周圍空氣間的重度相差不大,採用自然排煙罩是才合理的。
(1)水平煙氣散發源排煙罩形狀和尺寸的確定
排煙罩罩口的截面形狀儘可能與煙氣散發源的水平投影相似。
排煙罩的收縮角度口宜等於或小於60°,最大不應大於90°。為了降低排煙罩的高度,對於邊長較長的矩形排煙罩可將長邊分段設定。
排煙罩
排煙罩排煙罩罩口邊宜留有一定高度的垂直邊(裙邊),垂直邊的高度 ( 為罩口面積)。
罩口截面尺寸按下式計算:
右圖
排煙罩式中各符號的意義見右圖(a)。
(2)垂直爐門煙氣散發源和煙罩尺寸的確定 ‘
排煙罩垂直爐門上方裝設排煙罩的常見形式如右圖(b)所示。排煙罩罩口尺寸A可按公式 確定,但確定罩口尺寸B必須首先確定煙氣散發源的尺寸b。除按生產實踐中的經驗數據確定外,也可以用理論方法計算確定。
排煙罩
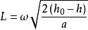
排煙罩如右圖所示,沿爐牆外表面和零壓面設直角坐標,則排煙罩口平面的坐標為 ,設有一氣體質點單元,體積為dV,其噴出爐外的起始點為A(h,0),顯而易見,在水平噴出速度和垂直向上浮力的綜合作用下,它將運動至A'(h,L)。在忽略黏性力的條件下,可列出垂直方向上的方程式,從而求出向上的加速度a( ),並經簡化得出:
排煙罩
排煙罩
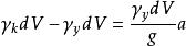
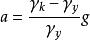
排煙罩
排煙罩式中, ——周圍空氣的重度, ;
排煙罩
排煙罩——噴出煙氣的重度, ;
排煙罩g——重力加速度, 。
質點單元運動至A'位置時,在水平方向移動的距離可按下式求得:
排煙罩式中,L——質點單元到達排煙罩口時,在水平方向上移動的距離,m;
排煙罩——水平噴出速度,m/s;
排煙罩——排煙罩El平面至零壓面的距離,m;
排煙罩——A點至零壓面的距離,m。
排煙罩
排煙罩將公式 代入公式 可得:
排煙罩上述公式說明,當爐內氣體靠幾何壓頭噴出時,最大噴出距離取決於零壓面到排煙罩口平面的距離。
(3)排煙量的計算
排煙罩
排煙罩排煙罩的排煙量V( )按下式計算:
排煙罩式中,F——罩口截面面積, ;
排煙罩——罩口截面上平均流速,m/s。
排煙罩推薦取以下數值:
四邊敞開的排煙罩:1.05~1.25m/s;
三邊敞開的排煙罩:0.9~1.05m/s;
二邊敞開的排煙罩:0.75~0.9 m/s;
一邊敞開的排煙罩:0.5~0.75 m/s。
要求
(1)油煙吸收率應大於95%,採用同誑導流圍護裝置。
(2)圍護結構應配有鉸接式檢查門,以便於衛生清潔及觀察。
(3)設備全部由不鏽鋼製成,所有聯結處為防水、防蒸汽、防油煙。
(4)風罩嵌入吊頂內,兩者之間設有不鏽鋼裝飾板,用厚度1.2mm的不鏽鋼板製造,易拆卸,嵌入深度≥100mm。
(5)全部罩體用厚度大於1.0mm的不鏽鋼板製造。
(6)通風管用1.0鍍鋅板製成,設有不鏽鋼鐵風量調節閥。
(7)照明設備是防濺,防水、內凹型的,分布於每1000mm距離,並應將所有電線套於導管中,用接駁箱連線。照度裝置大於等於600lux,採用節能芝光管燈,統一的電力接口。
(8)風罩豎板帶有一體環繞的自排裝置,排放槽易於清洗油煙、蒸汽,排放管為不鏽鋼制,並聯至風罩的全自動自清潔裝置。

