問題引出
指數型母函式問題:
假設有n個元素,其中a1,a2,····,an互不相同,進行全排列,可得n!個不同的排列。若其中某一元素a1重複了n1次,全排列出來必有重複元素,其中真正不同的排列數應為n!/n1!,即其重複度為n1!
同樣理由a1重複了n1次,a2重複了n2次,····,ak重複了nk次,n1+n2+····+nk=n。對於這樣的n個元素進行全排列,可得不同排列的個數實際上是
指數型母函式定義
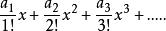
對於序列a0,a1,a2,····定義
指數型母函式
指數型母函式Ge(x)= +
指數型母函式為序列{ }的指數型母函式
舉例:
設n是正整數。確定下列數列的指數生成函式:
p(n,0),p(n,1),p(n,2),…,p(n,n)
指數型母函式其中p(n,k)表示n元素的k排列的數目,因此對於k=0,1,2,…,n,這個排列的數目是n!/(n-k)!。因此指數生成函式是:
因此 是數列p(n,0),p(n,1),p(n,2),…,p(n,n)的指數生成函式。
