定義
拋物線 是指平面內到一個定點F(焦點)和一條定直線l(準線)距離相等的點的軌跡,拋物線的極坐標方程是拋物線以焦點為圓心,R為變半徑的曲線方程。
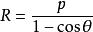
拋物線的極坐標方程以右開口拋物線的標準方程y^2=2p(x-p/2)為例,它的極坐標方程為 ,其中θ為拋物線上的點P(x,y)與焦點(p/2,0)所連直線與x軸正方向夾角。
證明
拋物線的極坐標方程P(Rcosθ+p/2,Rsinθ)到定直線l(準線)x=-p/2的距離為Rcosθ+p,到定點F(p/2,0)(焦點)距離為R,根據定義Rcosθ+p=R,也就是。
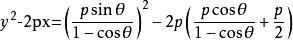
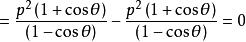
拋物線的極坐標方程將R值代入P點坐標,
拋物線的極坐標方程這與右開口拋物線的標準方程一致。

