概述
數學關係可以簡單寫為:
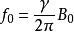
f0=(γ/2π)B0
其中f0為拉莫爾頻率,以兆赫茲(MHz)表示;B0為主磁場強度,以特斯拉表示;γ為鏇磁比,為兩者間的比例常數,一種特定自鏇具有固定值。
拉莫爾頻率出現在磁共振現象學中,指的是特定自鏇在一定主磁場強度B下會具有的共振頻率。數學關係可以簡單寫為:
拉莫頻率其中f為拉莫爾頻率,以赫茲表示;B為主磁場強度,以特斯拉表示;γ為鏇磁比,為兩者間的比例常數,一種特定自鏇具有固定值。
拉莫爾進動
在物理學中, 拉莫爾進動(英語: Larmor precession,以約瑟夫·拉莫爾的名字命名)是指電子、原子核和原子的磁矩在外部磁場作用下的進動。外部磁場對磁矩施加了一個力矩:
拉莫頻率
拉莫頻率
拉莫頻率
拉莫頻率
拉莫頻率
拉莫頻率
拉莫頻率其中 為力矩, 為角動量, 為外部磁場, 為矢量積, 為鏇磁比,它是磁矩與角動量矢量的比值,角動量 繞外磁場方向進動,其角頻率稱為拉莫爾頻率:
拉莫頻率
拉莫頻率其中 為角頻率,B為磁感應強度。
Lev Landau and Evgeny Lifshitz在一篇1935年出版的著名論文中預言了由於拉莫爾進動導致的鐵磁共振的存在,這在1946年被J. H. E. Griffiths(英國)和E. K. Zavoiskij (蘇聯)各自獨立通過實驗證實。
拉莫爾進動對於核磁共振至關重要 。
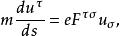
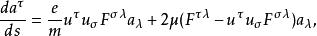
Bargmann-Michel-Telegdi 等式
電子在外加磁場中的自鏇進動,由Bargmann-Michel-Telegdi(簡稱BMT)等式描述。
拉莫頻率
拉莫頻率
拉莫頻率
拉莫頻率
拉莫頻率這裡的 和 分別是極性四矢量、電荷、質量和磁矩, 是電子的四維速度, 電磁場的強度。利用運動方程,
拉莫頻率
拉莫頻率
拉莫頻率可以把BMT方程右邊的第一項改寫為,這裡是四維加速度。這一項描述了Fermi-Walker transport,並導致了湯瑪斯進動(Thomas precession),第二項則與拉莫爾進動相關聯。
