簡介
朗繆爾方程(英語:Langmuir equation,亦稱為 朗繆爾等溫線、 朗繆爾吸附方程或 蘭牟而方程或 希爾-朗繆爾方程)建立了在一定溫度下分子在固體表面的覆蓋範圍或吸附情況與固體表面之上介質的氣壓或濃度之間的關係。此方程由歐文·朗繆爾於1916年建立。此方程表達為:
拉穆爾方程式
拉穆爾方程式
拉穆爾方程式
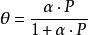
拉穆爾方程式是表面覆蓋範圍分數,P是氣體壓力或濃度,為常數。常數即為 朗繆爾吸附常數並且隨著吸附結合能的增加或溫度的減少而增加。
歐文·朗繆爾
歐文·朗繆爾(英語: Irving Langmuir,1881年1月31日-1957年8月16日),美國化學家、物理學家。他最知名的出版物是1919年發表的文章"電子在原子與分子中的排列"("The Arrangement of Electrons in Atoms and Molecules" ),該文建構在吉爾伯特·路易斯的立方原子模型與華爾特·科塞爾的化學鍵結理論之上,描繪他的"原子結構同心理論"(concentric theory of atomic structure)。朗繆爾因這篇文章被捲入和路易斯對該理論的先後爭議,不過後世認為朗繆爾優秀的演說技巧是該理論能普及的原因,而理論的內容主要由路易斯所貢獻。朗繆爾1909年至1950年在通用電器工作,發明了氫氣焊接、在燈炮充入氣體的技術,因在表面化學的貢獻而獲得1932年諾貝爾化學獎。為表彰朗繆爾的貢獻,位於索柯洛的大氣實驗室與美國化學學會的表面科學期刊皆以其名命名。
