簡介
採樣定理,又稱香農採樣定律、奈奎斯特採樣定律,是資訊理論,特別是通訊與信號處理學科中的一個重要基本結論.E. T. Whittaker(1915年發表的統計理論),克勞德·香農與Harry Nyquist都對它作出了重要貢獻。另外,V. A. Kotelnikov 也對這個定理做了重要貢獻。採樣是將一個信號(即時間或空間上的連續函式)轉換成一個數值序列(即時間或空間上的離散函式)。採樣得到的離散信號經保持器後,得到的是階梯信號,即具有零階保持器的特性。如果信號是帶限的,並且採樣頻率高於信號最高頻率的一倍,那么,原來的連續信號可以從採樣樣本中完全重建出來。帶限信號變換的快慢受到它的最高頻率分量的限制,也就是說它的離散時刻採樣表現信號細節的能力是非常有限的。採樣定理是指,如果信號頻寬小於奈奎斯特頻率(即採樣頻率的二分之一),那么此時這些離散的採樣點能夠完全表示原信號。高於或處於奈奎斯特頻率的頻率分量會導致混疊現象。大多數套用都要求避免混疊,混疊問題的嚴重程度與這些混疊頻率分量的相對強度有關。
採樣過程所應遵循的規律,又稱取樣定理、抽樣定理。採樣定理說明採樣頻率與信號頻譜之間的關係,是連續信號離散化的基本依據。採樣定理是1928年由美國電信工程師H.奈奎斯特首先提出來的,因此稱為奈奎斯特採樣定理。1933年由蘇聯工程師科捷利尼科夫首次用公式嚴格地表述這一定理,因此在蘇聯文獻中稱為科捷利尼科夫採樣定理。1948年資訊理論的創始人C.E.香農對這一定理加以明確地說明並正式作為定理引用,因此在許多文獻中又稱為香農採樣定理。採樣定理有許多表述形式,但最基本的表述方式是時域採樣定理和頻域採樣定理。採樣定理在數字式遙測系統、時分制遙測系統、信息處理、數字通信和採樣控制理論等領域得到廣泛的套用 。
定理內容
抽樣定理
抽樣定理
抽樣定理
抽樣定理
抽樣定理抽樣定理:設時間連續信號 ,其最高截止頻率為 ,如果用時間間隔為 的開關信號對 進行抽樣時,則 就可被樣值信號唯一地表示。
抽樣定理
抽樣定理
抽樣定理
抽樣定理
抽樣定理
抽樣定理在一個頻帶限制在 內的時間連續信號 ,如果以小於等於 的時間間隔對它進行抽樣,那么根據這些抽樣值就能完全恢復原信號。或者說,如果一個連續信號 的頻譜中最高頻率不超過 ,這種信號必定是個周期性的信號,當抽樣頻率 時,抽樣後的信號就包含原連續信號的全部信息,而不會有信息丟失,當需要時,可以根據這些抽樣信號的樣本來還原原來的連續信號。根據這一特性,可以完成信號的模-數轉換和數-模轉換過程。
意義
抽樣定理
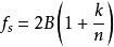
抽樣定理抽樣定理指出,由樣值序列無失真恢復原信號的條件是 ,為了滿足抽樣定理,要求模擬信號的頻譜限制在0~ 之內(fh為模擬信號的最高頻率)。為此,在抽樣之前,先設定一個前置低通濾波器,將模擬信號的頻寬限制在fh以下,如果前置低通濾波器特性不良或者抽樣頻率過低都會產生摺疊噪聲。
抽樣定理
抽樣定理
抽樣定理
抽樣定理
抽樣定理例如,話音信號的最高頻率限制在3400Hz,這時滿足抽樣定理的最低的抽樣頻率應為 =6800Hz,為了留有一定的防衛帶,CCITT規定話音信號的抽樣率 =8000Hz,這樣就留出了8000-6800=1200Hz作為濾波器的防衛帶。應當指出,抽樣頻率 不是越高越好,太高時,將會降低信道的利用率(因為隨著 升高,數據傳輸速率也增大,則數位訊號的頻寬變寬,導致信道利用率降低),所以只要能滿足,並有一定頻帶的防衛帶即可。
抽樣定理
抽樣定理
抽樣定理
抽樣定理
抽樣定理以上討論的抽樣定理實際上是對低通信號的情況而言的,設模擬信號的頻率範圍為~,頻寬。如果,稱之為低通型信號,例如,話音信號就是低通型信號的,若,則稱之為帶通信號,載波12路群信號(頻率範圍為60~108kHz)就屬於帶通型信號。
抽樣定理
抽樣定理
抽樣定理對於低通型信號來講,應滿足的條件,而對於帶通型信號,如果仍然按照這個抽樣,雖然能滿足樣值頻譜不產生重疊的要求,但是無疑太高了(因為帶通信號的高),將降低信道頻寬的利用率,這是不可取的。
分類
時域抽樣定理
抽樣定理
抽樣定理
抽樣定理
抽樣定理
抽樣定理
抽樣定理
抽樣定理一個頻譜受限的信號 ,如果頻譜只占據 ~ 的範圍,則信號 可以用等間隔的抽樣值惟一地表示。而抽樣間隔必須不大於 (其中 ),或者說,最低抽樣頻率為 。
頻域抽樣定理
抽樣定理
抽樣定理
抽樣定理
抽樣定理
抽樣定理
抽樣定理
抽樣定理若信號 是時間受限信號,它集中在 ~ 的時間範圍內,若在頻域中以不大於 的頻率間隔對 的頻譜 進行抽樣,則抽樣後的頻譜 可以惟一地表示原信號。
提示
抽樣定理在實際套用中應注意在抽樣前後模擬信號進行濾波,把高於二分之一抽樣頻率的頻率濾掉,這是抽樣中必不可少的步驟 。
舉例
•低通信號的抽樣
抽樣定理奈奎斯特抽樣定理 :設有一個頻帶限制在(0, f)Hz內的時間連續信號 f ( t),如果以不低於2 f次/秒的頻率對它進行抽樣,那么所得的抽樣值將包含 f ( t)的全部信息,並且可以用低通濾波器從這些樣值中重建 f ( t)。假設 f ( t)的頻譜為 F(),我們抽樣所用的信號是單位衝擊序列:
其中: T為抽樣時間間隔,那么抽樣後的信號 f( t)為:
抽樣定理
抽樣定理其信號頻譜為:
抽樣定理
抽樣定理抽樣後信號 f ( t)的頻譜 由無限多個以 ω的各次諧波為中心點所組成,當然幅度只有原來的1/ Ts。如圖1所示。
顯然為了要使相鄰的邊帶不發生混疊,必須滿足如下條件 ω≥2 ω ,或 f≥2 f
當抽樣滿足抽樣定理要求,頻譜不發生混疊時,在接收端只要用理想低通濾波器就可以從抽樣信號中無失真地恢復原信號。
•帶通信號的抽樣
抽樣定理
抽樣定理
抽樣定理設 f( t)頻帶為 ,仍按 抽樣,抽樣後的信號頻譜如圖2(b)所示。
抽樣定理由圖2(b)可見 頻譜圖中有很多空隙,那么是否可降低抽樣頻率呢?經觀察可發現帶通信號的最高頻率 f 如果是其頻寬的整數倍的話,例如 f=2 B,當抽樣頻率 f=2( f- f)=2 B時,其頻譜並不發生混疊。如圖2(c)所示。
抽樣定理
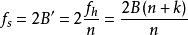
抽樣定理如果最高頻率 不是信號頻寬 B的整數倍,即:
抽樣定理其中 K的整數部分為 n,小數部分為 k,即:
我們可以假想一個比 B寬的頻寬 B′,使正好是它的整數倍。
抽樣定理
抽樣定理只要我們以2B'抽樣頻率 對 f ( t)進行抽樣必然不會出現頻譜混疊。因此
抽樣定理
抽樣定理①
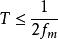
抽樣定理從式1可見,隨著 n的增大,趨向於2 B,當 n比較大時,式①可簡化為:

