簡介
在衛星定位中,需要測量衛星與接收者之間的幾何距離,但由於電離層和對流層的存在,使得衛星發射的信號經過電離層和對流層時其傳播路徑發生了彎曲,導致接收機測量得到的距離不等於衛星與接收機之間的幾何距離,即測量距離產生了偏差,這種偏差稱為折射誤差。
根據形成原因的不同,折射誤差可分為對流層折射誤差和電離層折射誤差兩種,對流層折射誤差主要是由於大氣折射率所造成的,電離層折射誤差主要是電子密度所引起的。
對流層折射誤差
對流層及其影響
對流層與地面接觸並從地面得到輻射熱能,其溫度隨高度的上升而降低,GPS信號通過對流層時,使其傳播的路徑發生彎曲,從而使測量距離產生偏差,這種偏差叫做對流層折射誤差。
對於一個在海平面上的中緯度站,在天頂方向的對流層延遲最大可達2.3m;當天頂角為85°時,可達25m。
對流層對電磁波的折射延遲主要取決於大氣的折射率,並且與電磁波的傳播方向也有關係,但與電磁波的頻率無關。對流層的折射對觀測值的影響可分為乾分量和濕分量兩部分,乾分量主要取決於大氣的溫度和壓力,濕分量主要取決於信號傳播路徑上的大氣濕度和高度。
對流層折射誤差常用天頂方向的乾、濕延遲分量及相應的映射函式來表示:
折射誤差
折射誤差
折射誤差
折射誤差
折射誤差式中, , 為天頂方向的乾、濕延遲分量; , 是與高度角E有關的映射函式。
消除或減弱措施
為了消除或減弱對流層折射的影響,在衛星信號測量距離中常採用以下方法和措施:
1)採用對流層模型改正
常用的對流層模型有Saastamoinen模型、Hopfield模型、Black模型等。
2)引入描述對流層折射影響的附加待估參數,在數據處理時一併求解
3)採用同步觀測量求差
電離層折射誤差
電離層及其影響
電離層中的氣體分子由於受到太陽等天體各種射線輻射的影響,產生強烈的電離,形成大量的自由電子和正離子。當GPS信號通過電離層時,如同其他電磁波一樣,信號的路徑會發生彎曲,傳播速度也會發生變化。所以用信號的傳播時間乘上真空中光速而得到的距離就會不等於衛星至接收機間的幾何距離,這種偏差叫電離層折射誤差。
電離層影響電磁波傳播的主要因素是電子密度,按電子密度的不同,電離層可分為D、E、F和H層,其中F層是導致導航衛星信號延遲的主要原因。從天頂到地平,電離層引起的測距誤差可有5~150m。
當進行GPS偽距測量時,電離層折射誤差表達式為:
折射誤差
折射誤差
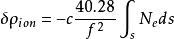
折射誤差式中, 為信號在傳播路徑上的電子總量(TEC),單位為電子數/ 。
當進行GPS載波相位測量時,電離層誤差表達式為:
折射誤差消除或減弱措施
電離層對導航衛星測量的影響,可以採用以下方法來消除或減弱:
1)模型改正
常用的模型有Klobuchar模型、Bent模型、IRI模型(International Reference Ionosphere model)、ICED模型(the Ionosphere Conductivity and Electron Density model)等,在GPS定位中一般採用Klobuchar模型。
2)利用雙頻觀測值修正
折射誤差
折射誤差衛星信號所受到的電離層延遲與信號頻率 的平方成反比。如果衛星能同時用兩種頻率發射信號,那么這兩種不同頻率的信號就將沿著同一路徑傳播到達接收機。如果能精確確定這兩種不同頻率的信號到達接收機的時間差 ,就能分別反推出它們各自所受到的電離層延遲。
3)利用同步觀測值求差法
根據GPS信號傳播路徑的相似性,利用兩台接收機在基線的兩端對一顆或多顆衛星進行同步觀測,並取其觀測量之差,來減弱電離層折射的影響。

