概念
橫軸誤差因不同的產品而定。當傾角感測器的橫軸誤差為3%FS,產生的額外誤差為3%×30°=0.9°,而感測器實際輸出的角度簡單估算為9.405°(=8.505°+0.9°)。此時,即使傾角感測器的非線性誤差達到0.001°,相對橫軸誤差而言,這個非線性誤差可以忽略不計,也就是說,作為傾角感測器的測量精度,不能不將橫軸誤差計算在內,否則將引起很大的測量錯誤。
儀電子測角系統橫軸誤差測量不確定度評定
全站儀,全稱為全站型電子速測儀,橫軸誤差是衡量全站儀準確度等級的重要指標之一,該指標可用多目標法或多齒分度台法檢定,本文對用多齒分度台法檢測II級全站儀“橫軸誤差”的測量不確定度進行評定。
測量
(1)測量依據
JJG100-2003《全站型電子速測儀檢定規程》。
(2)環境條件
溫度:常溫,相對濕度不大於65%,無強電場、磁場和震動影響。
(3)測量標準
JQJY-1A型高精度經緯儀水準儀檢定裝置,豎直角標準器綜合示值誤差1",水平角標準器示值誤差0.2"。
(4)被測對象
II級全站儀。
(5)測量過程
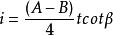
將全站儀安裝後精確整平,使豎軸鉛垂,臥式多齒分度台轉到離水平30°位置,望遠鏡以盤左位置向上瞄準光管分劃板十字中心;臥式多齒分度台轉到離水平-30°位置,望遠鏡向下轉動,在光管分劃板的橫絲上讀取格值A(用全站儀讀取);以盤右位置重複上述操作,讀取格值B,此為一測回,這一檢定應為2~4個測回,本次檢定用2個測回。
數學模型
橫軸誤差橫軸誤差
為減小估讀誤差,讀取格值A與B時,採用全站儀讀取豎絲偏移量。由於每次測量都是等精度測量,所以他們的標準偏差相等,L和R靈敏係數的模均相等。
輸入量的標準不確定度評定
影響照準誤差主要因素有:望遠鏡放大率,人眼分辨力,目標形狀及目標影響的亮度和清晰度,觀測條件等,照準誤差可用經驗公式計算。
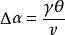
橫軸誤差
橫軸誤差
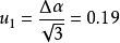
橫軸誤差式中:γ為觀察條件係數,一般去γ=1; 為人眼分辨力,一般為 =10";v為望遠鏡放大率,一般II級全站儀放大率v=30;
Δα值在其半寬內等機率分布,故:
橫軸誤差經緯儀橫軸誤差對豎直角觀測的影響
經緯儀各軸系誤差及其對角度觀測的影響是測量課程教學中所必然涉及到的一個基本內容。而橫軸對於豎直角觀測誤差的分析則少有闡述,相關的論文也比較少。文中具體分析橫軸傾斜對豎直角觀測影響的關係,闡述橫軸傾斜對豎直角觀測影響的規律。
前提條件
在闡述經緯儀橫軸不水平對豎直角觀測的影響時假定如下的前提條件:(1)照準部圓水準器軸平行於豎軸;(2)照準部長水準器軸垂直於豎軸;(3)望遠鏡十字絲橫絲水平;(4)橫軸垂直於視準軸;(5)橫軸垂直於豎軸;(6)光學對點器視準軸重合於豎軸;(7)豎軸垂直於水平度盤刻劃平面;(8)豎軸通過水平度盤的圓心;(9)橫軸與視準軸的交點位於豎軸上;(10)橫軸垂直於豎直度盤刻劃平面;(11)橫軸通過豎直度盤的圓心;(12)豎盤指標位置正確(指標差為0);(13)對中誤差為0;(14)讀數系統沒有行差、視差;(15)沒有瞄準誤差和讀數誤差;(16)地球曲率和大氣折射的影響為0。
橫軸傾斜對豎直角觀測的影響
對於經緯儀橫軸傾斜對豎直角度的影響可以從2個方面進行分析:①豎軸雖已豎直而橫軸不垂直於豎軸,即由於橫軸本身的傾斜對豎直角觀測產生影響。②橫軸雖已垂直豎軸,由於經緯儀安置不水平使豎軸傾斜導致橫軸不水平,對豎直角觀測產生影響。本文就從這2個方面的影響進行討論,具體分析經緯儀橫軸傾斜與豎直角觀測誤差之間的關係。
(1)橫軸不垂直於豎軸
圖1 經緯儀橫軸傾斜對豎直角觀測的影響經緯儀橫軸傾斜對豎直角觀測的影響見圖1。H1H1為橫軸水平時的狀態,H為橫軸水平時所觀測的豎直目標。h為目標H點在水平面的投影。此時平面HOh為一豎直面,所觀測的豎直角度為α。A1A1為橫軸傾斜i角後的狀態,此時豎直面HOh也隨之傾斜一個i角至AOh處。Oh為水平位置不變動。A點即為橫軸傾斜時視準軸所照準的目標,a為A點在水平位置的投影,β角為橫軸傾斜時所觀測的豎直角角度。則由於橫軸傾斜對豎直角所產生的誤差為Δa=β-a。
對於某一高度的目標而言,橫軸不水平對豎直角的影響無法通過盤左和盤右取平均值的方式對其進行消除。
(2)豎軸不豎直
圖2 經緯儀豎軸傾斜導致橫軸不水平在經緯儀橫軸本身沒有問題,儀器豎軸與照準部水準管軸垂直情況下,由於安置儀器時未能將水準管軸嚴格導致水平,使得豎軸不在豎直位置。此時由於經緯儀豎軸不豎直將導致儀器橫軸不水平,從而對豎直角觀測帶來誤差。其影響分析如圖2所示。
OT為處於豎直位置的豎軸。此時橫軸位於平面P內,處於水平狀態。OT′為傾斜了V角的豎軸位置,此時橫軸位於傾斜面P′中,處於傾斜狀態。平面P、P′的交線為OO,其垂直於平面TOT′。若橫軸位於交線OO上,則經緯儀豎軸傾斜對橫軸沒有影響。除此以外,經緯儀的橫軸都因豎軸傾斜而產生不同大小的傾斜i。其中當橫軸位於ON′的位置,既垂直於OO時傾斜角最大,等於豎軸的傾斜角V。
研究結論
本文從橫軸本身不水平及經緯儀安置不豎直導致橫軸不水平2個方面分析了由於橫軸不水平對豎直角觀測的影響,推出了相應的嚴密公式。並對豎軸傾斜導致橫軸不水平從而間接對豎直角觀測產生的影響進行定量計算。通過定量分析討論得出,雖然經緯儀橫軸不水平對豎直角的影響無法通過盤左和盤右取平均來消除,但在進行豎直角觀測時通過水準管正常安置經緯儀,由於橫軸傾斜的角度非常小,因此不必考慮橫軸傾斜對豎直角觀測的影響。

