藥品簡介
通用名戊酸雌二醇貼片
英文名ESTRADIOLVALERATETABLETES
拼音名WUSUANCI'ERCUNTIEPIAN
藥品類別雌激素及孕激素類
主要成分
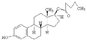
戊酸雌二醇結構式通用名戊酸雌二醇
化學名3-羥基雌甾-1,3,5(10)-三烯-17β-醇17-戊酸酯
拼音名WUSUANCI'ERCHUN
英文名OESTRADIOLVALERATE
CASNo.979-32-8
分子式C23H32O3
分子量356.50
藥理毒理
戊酸雌二醇為長效雌二醇衍生物。
適應症
1.補充雌激素不足,如萎縮性陰道炎、女性性腺的功能不良、外陰乾枯症、絕經期血管舒縮症狀、閉經、更年期綜合徵、退奶、卵巢切除、原發卵巢衰竭等。
2.晚期前列腺癌。
不良反應
可有頭痛、乳房脹痛等。
禁忌症
肝、腎病、乳腺癌及卵巢癌患者禁用。
用藥
孕婦及哺乳期婦女用藥尚不明確。
兒童用藥
老年患者用藥
藥物相互作用
尚不明確。
